Figure 16
From: Endmember extraction and abundance estimation algorithm based on double-compressed sampling

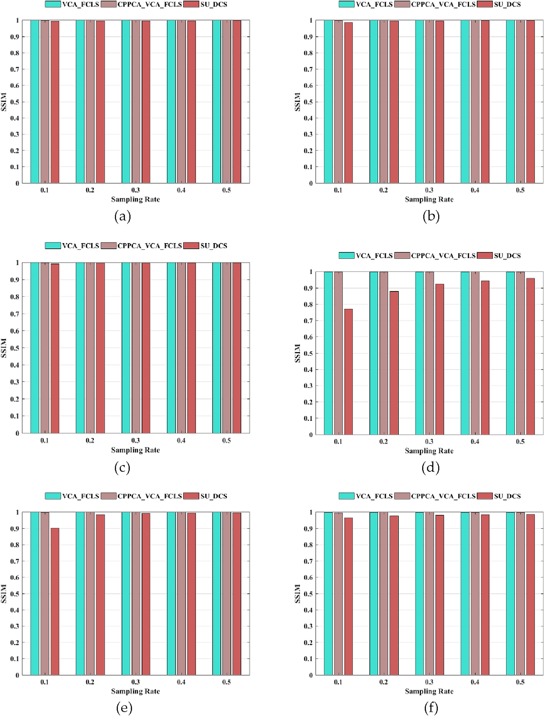
SSIM comparison of remixing images. (a) Cuprite1, (b) Cuprite2, (c) Cuprite3, (d) Indian Pines, (e) Pavia University, (f) Botswana.
From: Endmember extraction and abundance estimation algorithm based on double-compressed sampling

SSIM comparison of remixing images. (a) Cuprite1, (b) Cuprite2, (c) Cuprite3, (d) Indian Pines, (e) Pavia University, (f) Botswana.