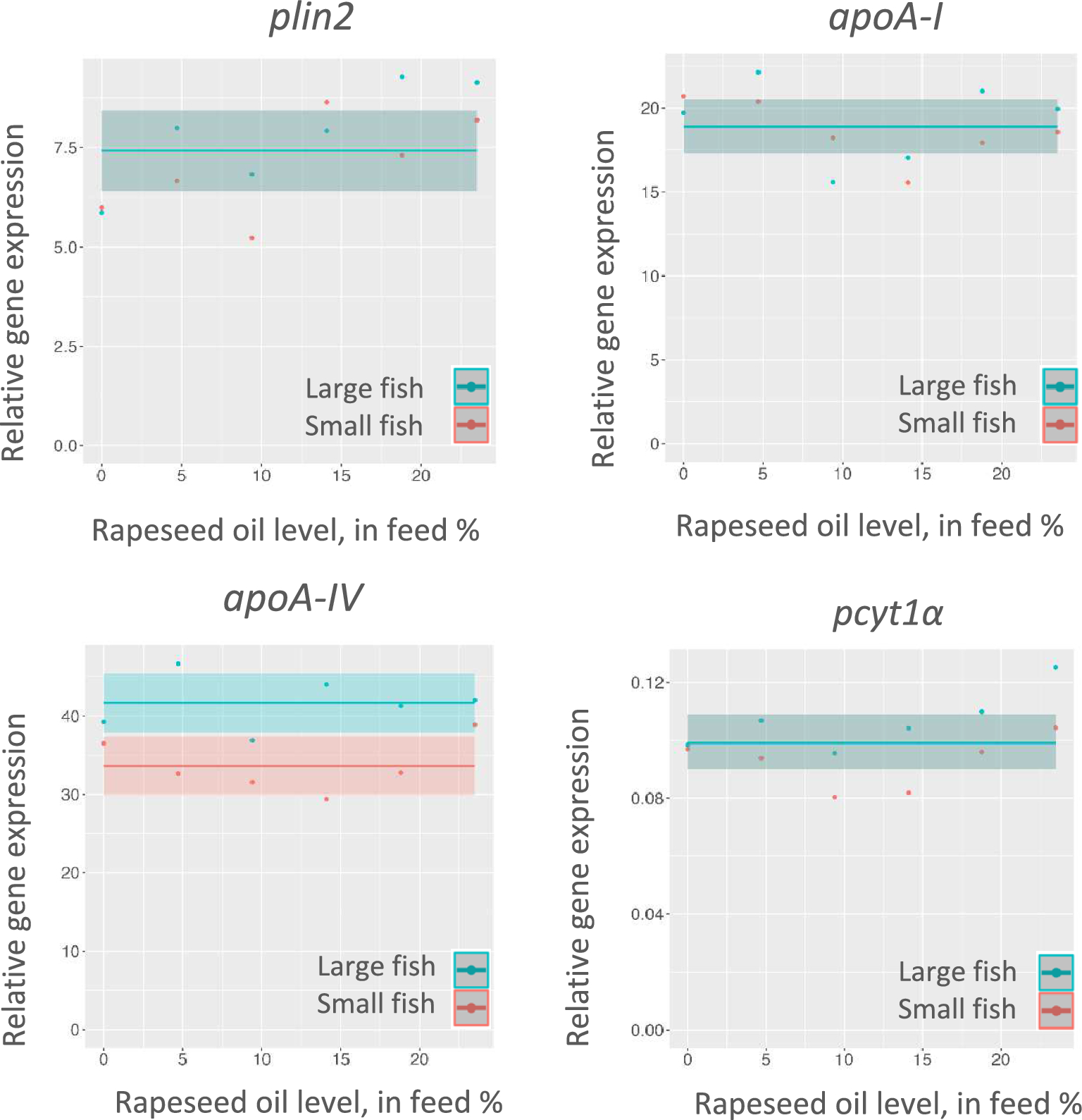
Figure 4

Relative expression of biomarker genes for choline requirement. The curves show the estimated regression lines with indication of 95% credible intervals for posterior mean.

Relative expression of biomarker genes for choline requirement. The curves show the estimated regression lines with indication of 95% credible intervals for posterior mean.