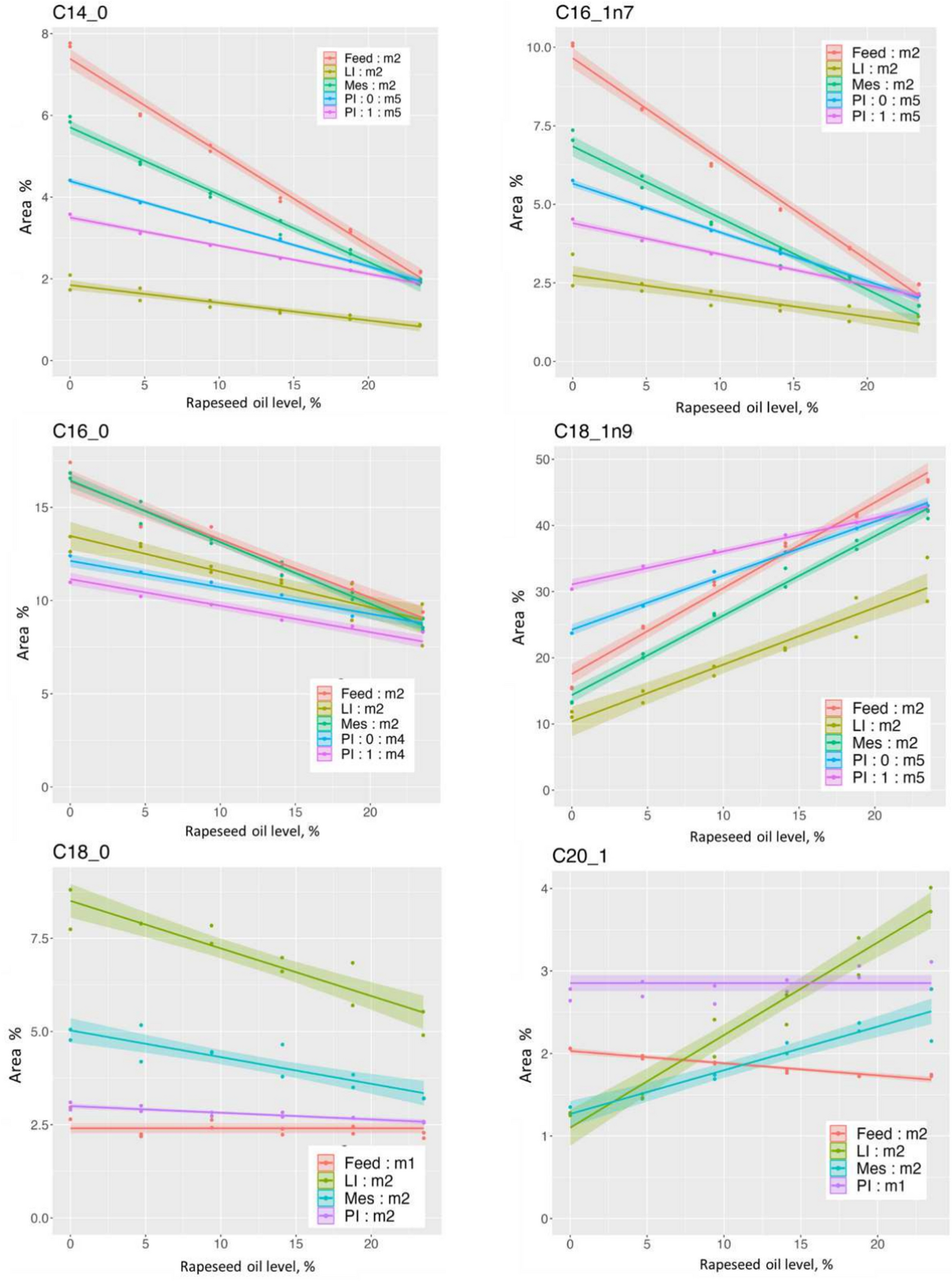
Figure 6


a. Effects of the increasing dietary rapeseed oil level on the relative level of saturated and mono-unsaturated fatty acids (% of sum of fatty acids, Area %) indicated on the left above the graphs, in absorbed fat, pyloric caeca (PI), mesenteric fatty tissue (Mes), and liver (Unit: % of sum fatty acids), representative for small (0) and large (1) fish. The legend in the figure indicates whether fish size clearly affected the results and the best model selected for the data. For fatty acids not clearly affected by fish size, average cures are presented. For fatty acids showing significant effects of fish size, separate curves are shown. The curves show the estimated regression lines with indication of 95% credible intervals for posterior means. The curves show estimated regression on dietary rapeseed oil level with indication of 95% credible intervals for the posterior means allowing comparison of the results: lines and parts of lines for which the 95% range do not overlap differ significantly. b Effects of the increasing dietary rapeseed oil level on the relative level (% of sum of fatty acids, Area %) of poly-unsaturated fatty acids indicated on the left above the graphs, in absorbed fat, pyloric caeca (PI), mesenteric fatty tissue (Mes), and liver (Unit: % of sum fatty acids), representative for small (0) and large (1) fish. The legend in the figure indicates whether fish size clearly affected the results and the best model selected for the data. For fatty acids not clearly affected by fish size, average cures are presented. For fatty acids showing significant effects of fish size, separate curves are shown. The curves show the estimated regression lines with indication of 95% credible intervals for posterior means. The curves show estimated regression on dietary rapeseed oil level with indication of 95% credible intervals for the posterior means allowing comparison of the results: lines and parts of lines for which the 95% range do not overlap differ significantly.