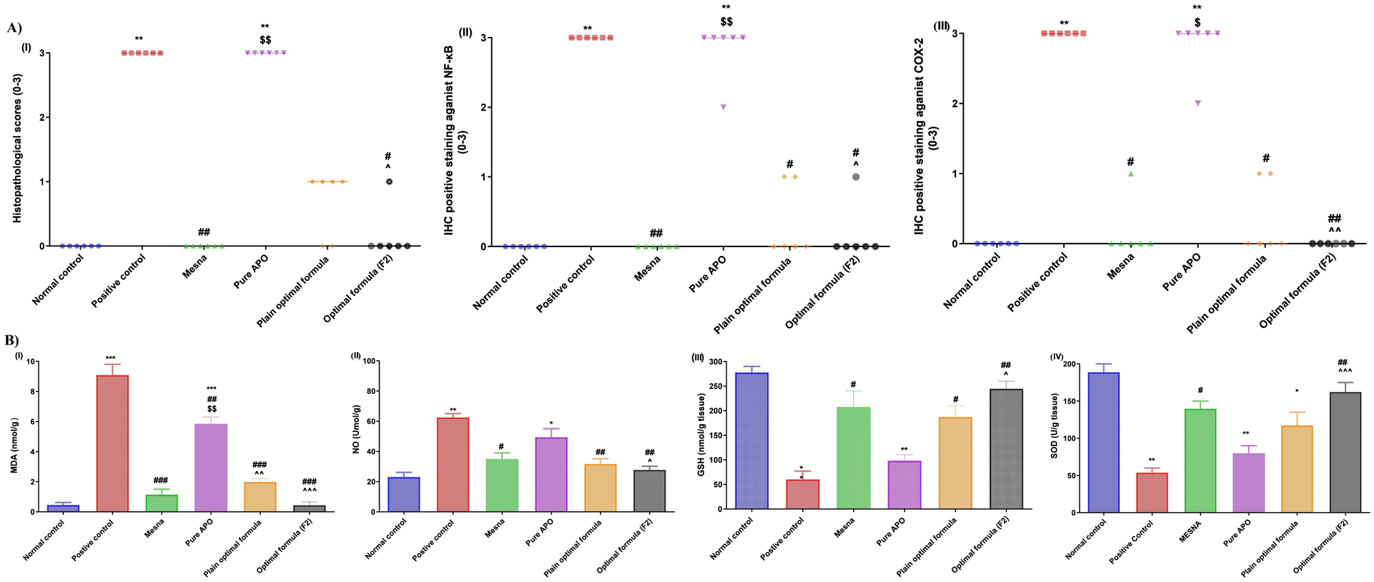
Figure 4

(A) Statistical analysis of histopathological score (A) and IHC scores of NF-κB (B) and COX-2 (C) in bladder sections of all experimental groups (n = 6). Statistical significances of rat groups are indicated as: **p < 0.01 vs normal control group, #p < 0.05, ##p < 0.01 vs positive control group, $p < 0.05, $$p < 0.01 vs Mesna group and ^p < 0.05, ^^p < 0.01 vs pure APO group. Kruskal–Wallis’s test (nonparametric test) was applied followed by the Dunn multiple comparison test. (B) Influence of oral pretreatment with the optimal formula (F2) on CP-induced HC investigated changes in oxidative stress biomarkers: (A) MDA, (B) NO, (C) GSH, and (D) SOD in comparison with different experimental groups. Data are expressed as the mean ± SEM (n = 6). Statistical significances of rat groups are indicated as: *p < 0.05, **p < 0.01, **p < 0.001 vs normal control group, #p < 0.05, ##p < 0.01, ###p < 0.001 vs positive control group, and ^p < 0.05, ^p < 0.01, ^^^p < 0.001 vs pure APO group. One-way analysis of variance (ANOVA) (parametric test) was applied followed by the Tukey–Kramer multiple comparison test.