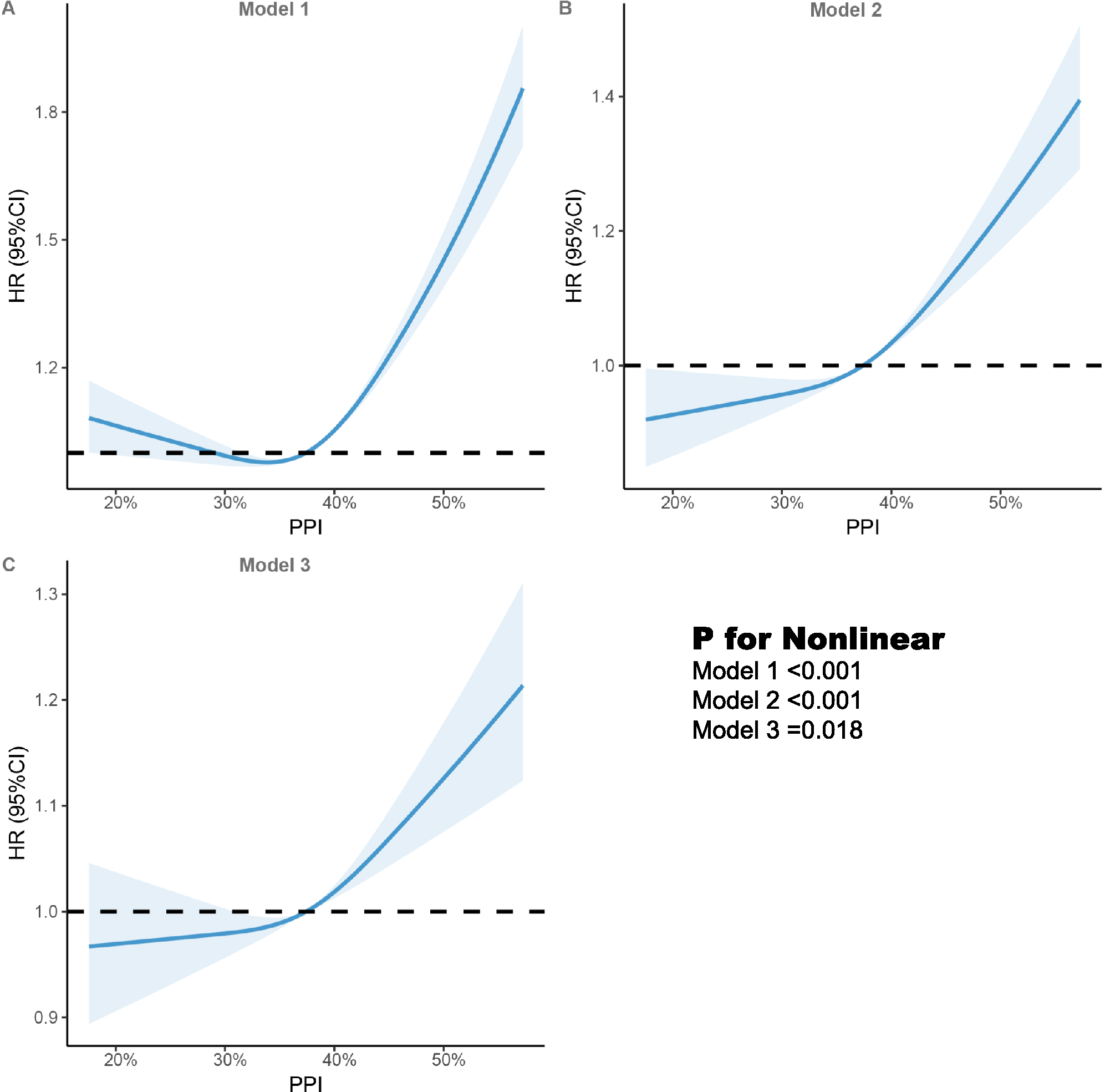
Figure 4

Non-linear PPI-prediabetes relationship. Model 1: No covariates are adjusted; Model 2: Age, gender, BMI, smoking status, drinking status, and family history of diabetes were adjusted as covariates; Model 3: Age, gender, BMI, smoking status, drinking status, family history of diabetes, TC, TG, HDL-C, LDL-C, AST, ALT, Scr, BUN and FPG were adjusted as covariates. BMI body mass index, ALT alanine aminotransferase, AST aspartate aminotransferase, HDL-C high-density lipoprotein cholesterol, LDL-C low-density lipoprotein cholesterol, TC total cholesterol, TG triglycerides, Scr serum creatinine, BUN blood urea nitrogen, FPG fasting plasma glucose, PPI pulse pressure index.