Figure 7
From: Properties, estimation, and applications of the extended log-logistic distribution

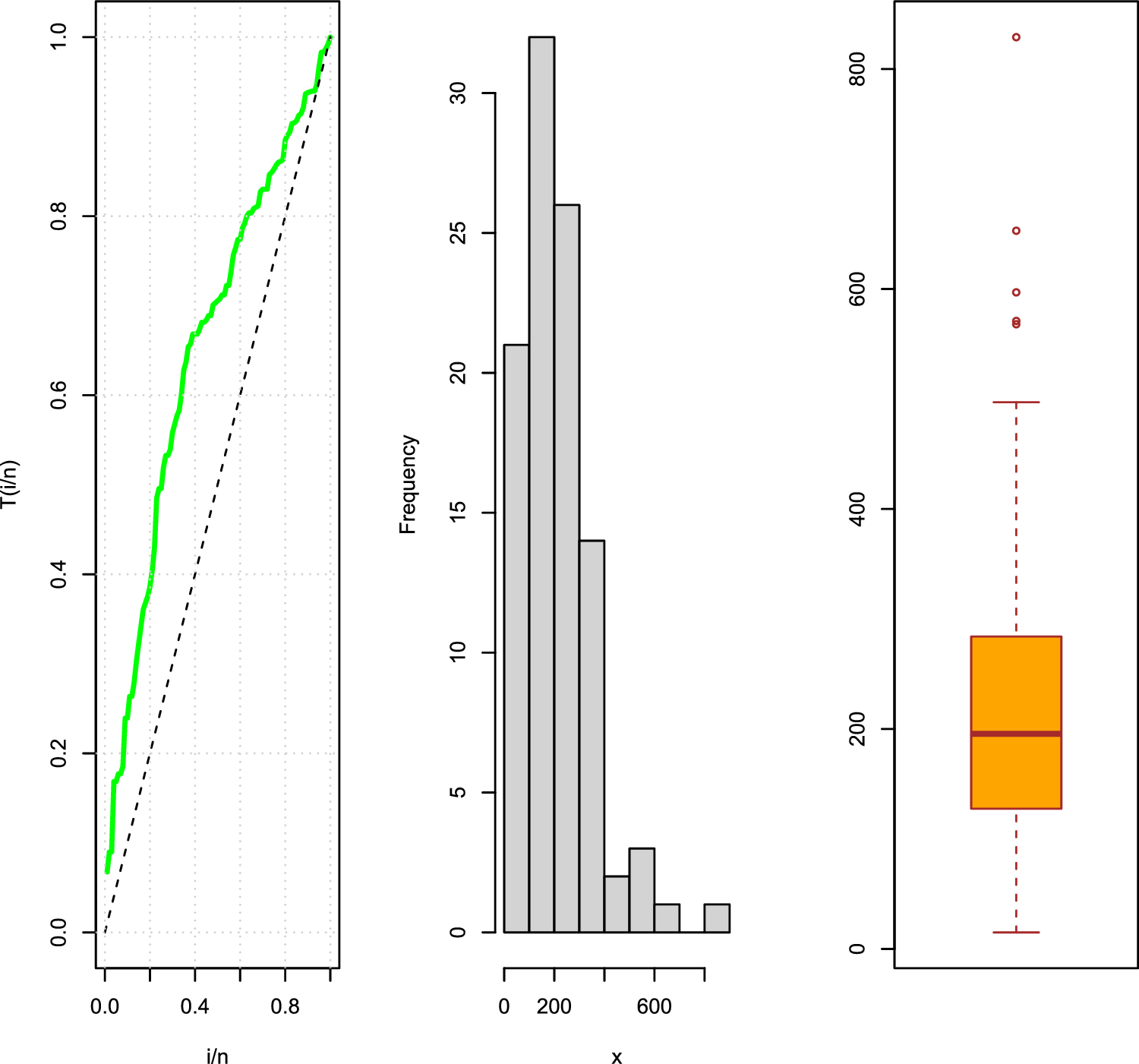
The TTT plot, histogram, and box-plot for time to failure data.
From: Properties, estimation, and applications of the extended log-logistic distribution

The TTT plot, histogram, and box-plot for time to failure data.