Figure 7
From: Continuous sepsis trajectory prediction using tensor-reduced physiological signals

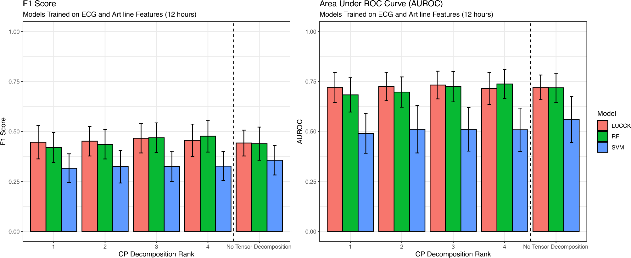
Models trained with ECG and arterial line, 12-h data.
From: Continuous sepsis trajectory prediction using tensor-reduced physiological signals

Models trained with ECG and arterial line, 12-h data.