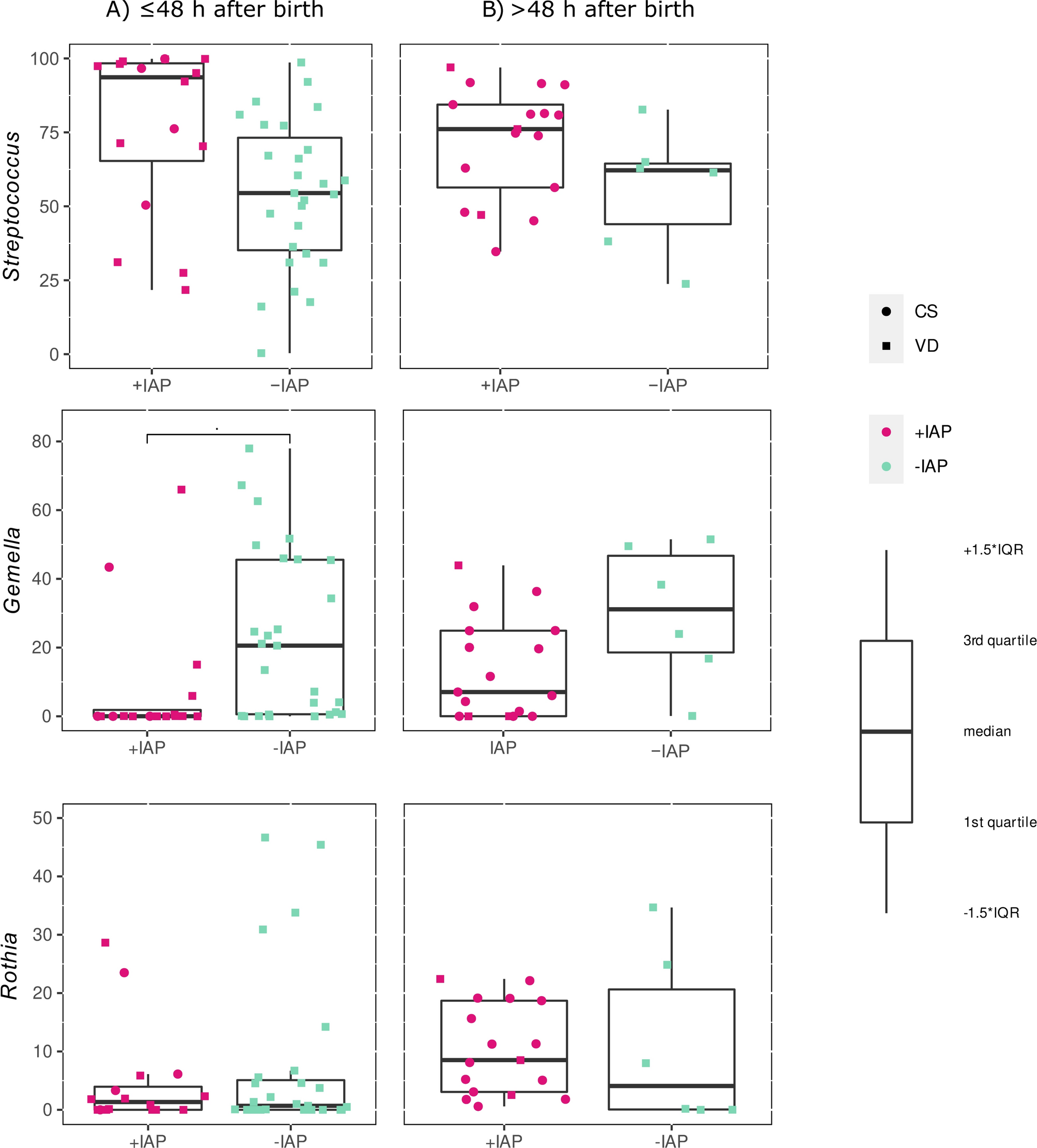
Figure 5

Relative abundance of specific bacteria in neonatal oral swabs. This figure examines the relative abundance of Streptococcus, Gemella, and Rothia in neonatal oral swabs according to the intrapartum antibiotic prophylaxis: (A) samples collected ≤48 h after birth, (B) samples collected >48 h after birth; +IAP, with intrapartum antibiotic prophylaxis; -IAP without intrapartum antibiotic prophylaxis, IQR interquartile range, CS,C-section, VD vaginal delivery. *q<0.1.