Figure 6
From: Task-dependent contribution to edge-based versus region-based texture perception

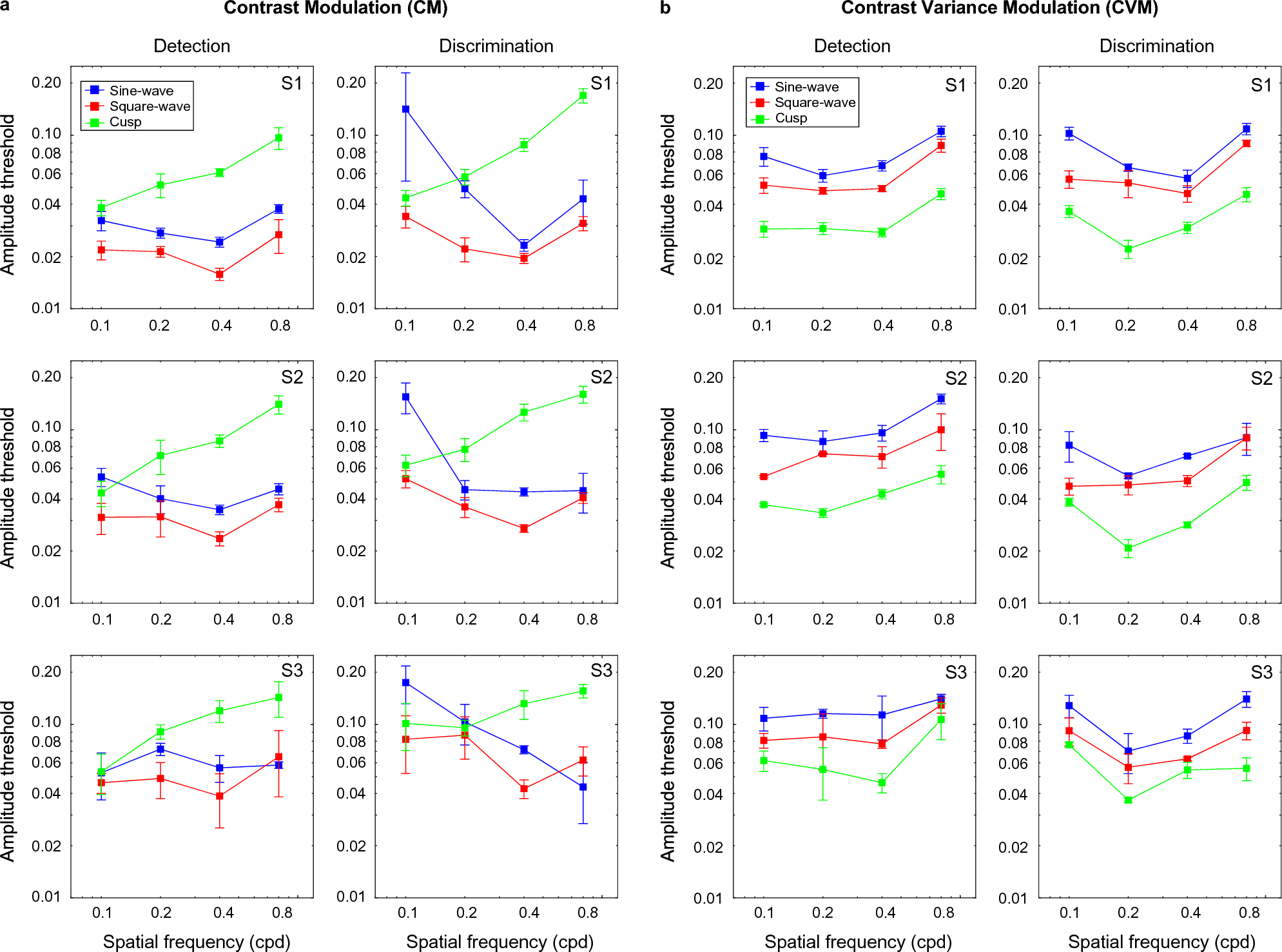
Amplitude modulation thresholds obtained with (a) contrast modulated (CM) and (b) contrast-variance modulated (CVM) textures are shown as a function of the spatial frequency of the modulation waveform for the sinewave (blue), square-wave (red) and cusp-wave (green) modulations and for both detection (left panels) and discrimination (right panels) tasks.