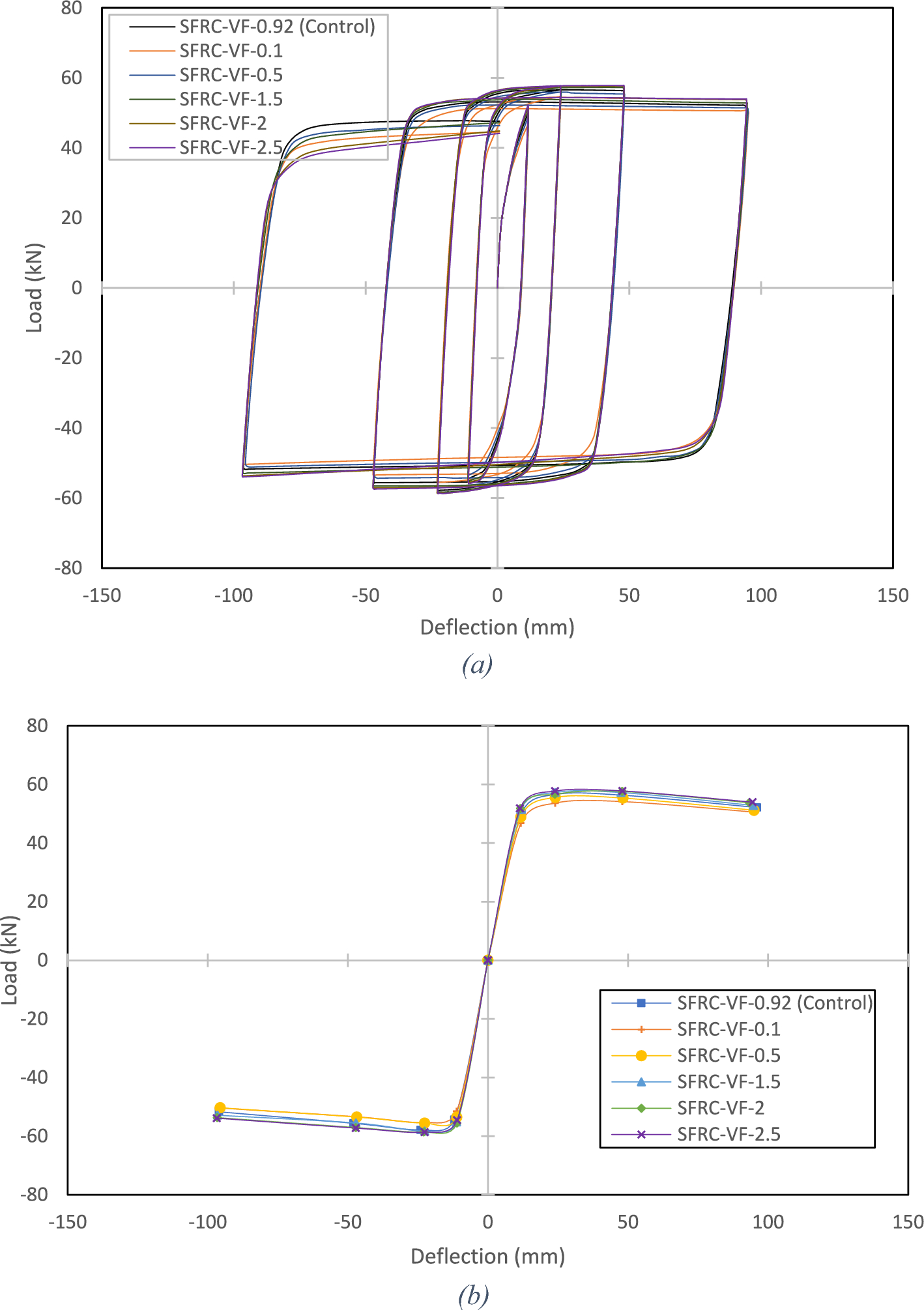
Figure 26 | Scientific Reports