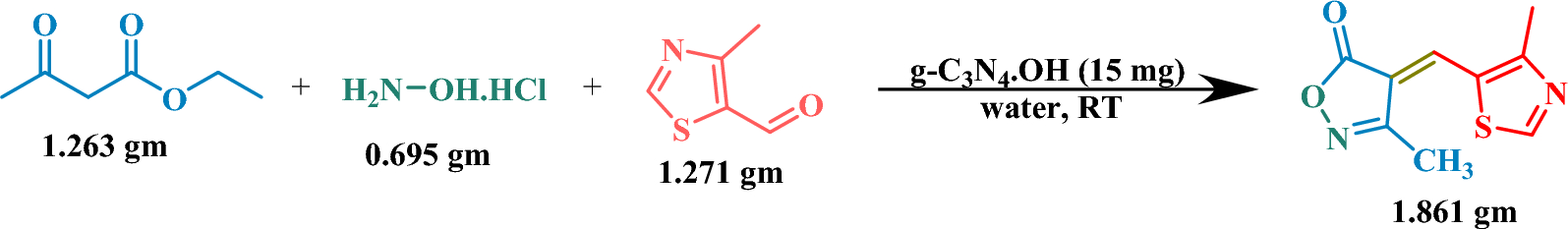
Scheme 2 | Scientific Reports