Figure 3
From: Global perspectives on the management of primary progressive aphasia

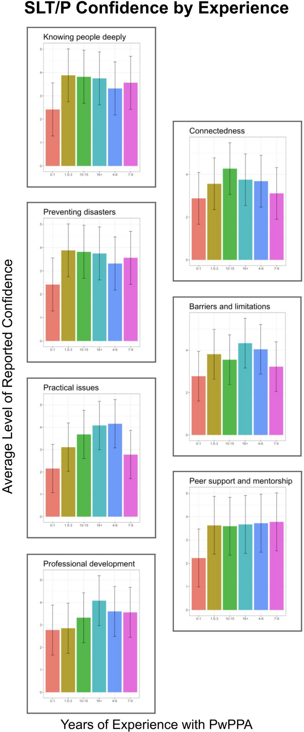
Reported SLT/P Confidence by Experience. For each best practice principle, SLT/P confidence is represented by the relative years of experience of working with PwPPA. Average reported levels of confidence ranged between slightly confident and confident, with average upwards shifts towards somewhat confident seen by the time 4 to 6 years of experience were gathered.