Figure 6
From: Multi-level feature encoding algorithm based on FBPSI for heart sound classification

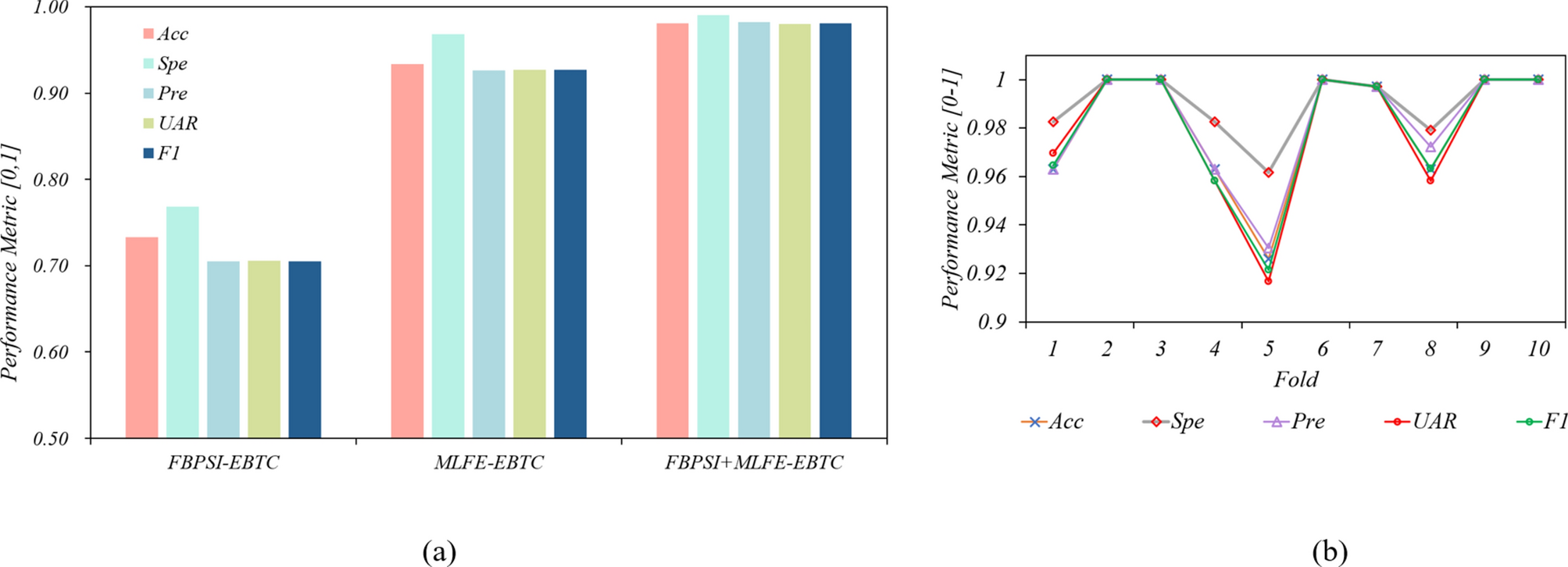
(a) The performance comparison of three algorithms in HCMD; (b) The results of the FBPSI + MLFE algorithm obtained from tenfold cross-validation in HCMD.