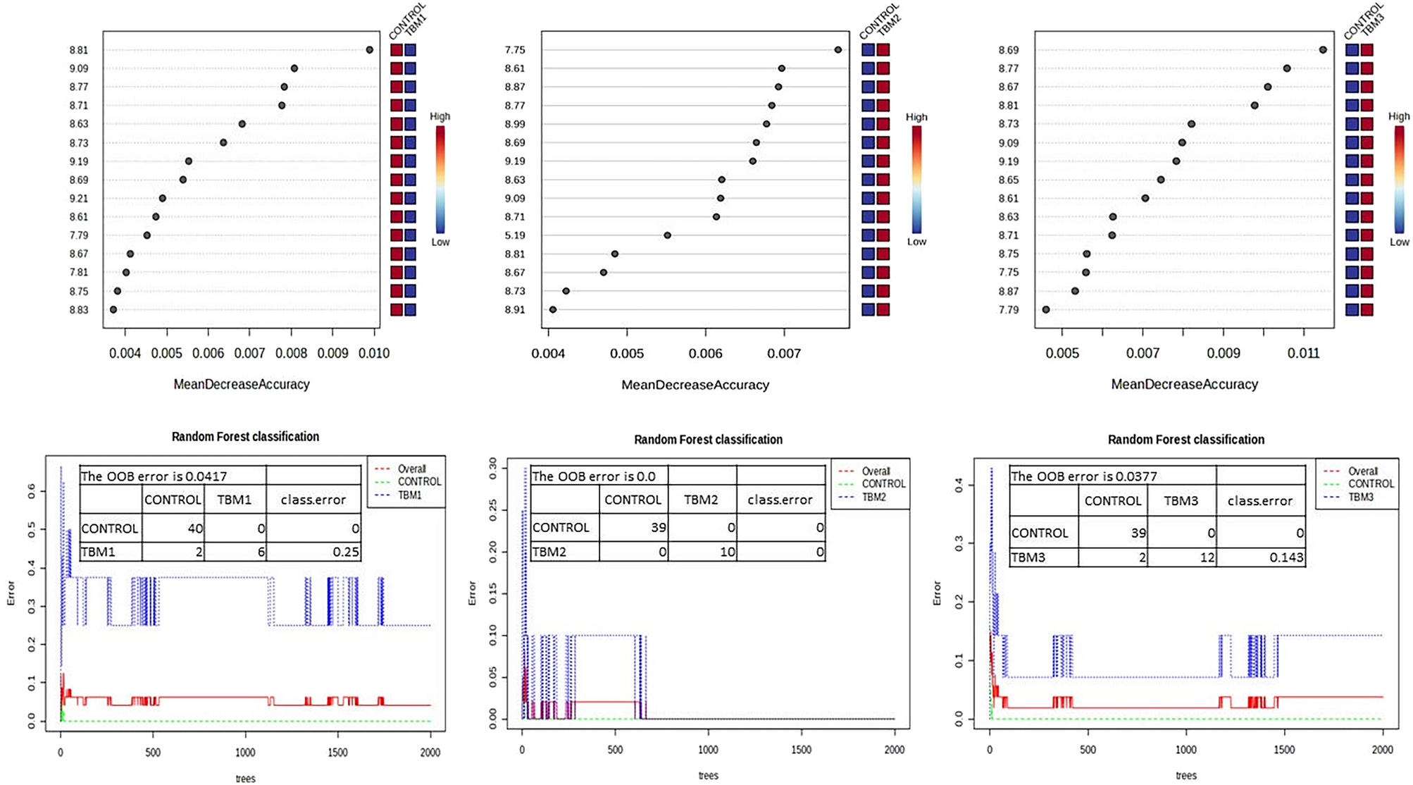
Fig. 3

Random forest outputs supporting the OPLSDA results. The results are shown in the left, centre, and right panels for the Stage 1 TBM, Stage 2 TBM, and Stage 3 TBM, respectively. The top part of each panel shows that similar discriminating bins were found in comparison to the OPLSDA results, and the out-of-bag (OOB) values for each panel are < 0.05, supporting the OPLSDA model. The bottom part of each panel shows the Random forest classification: stage 1 TBM cases were misclassified 25% of the time as controls, and no misclassifications occurred for stage 2 TBM, while stage 3 TBM cases were misclassified 14.3% of the time as controls.