Fig. 6
From: A high-fidelity lithium-ion battery emulator for electric vehicle application

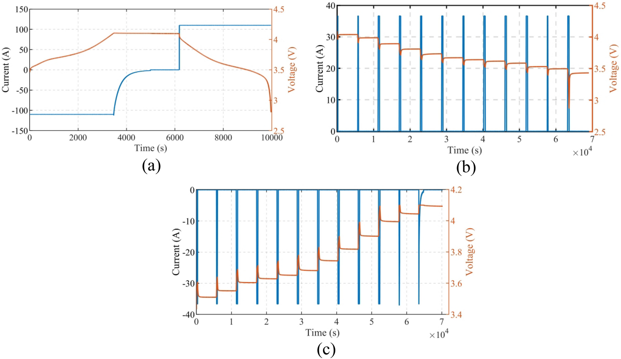
The voltage and current of the NMC battery under different conditions. (a) Capacity test, (b) Discharge tests, (c) Charge test.
From: A high-fidelity lithium-ion battery emulator for electric vehicle application

The voltage and current of the NMC battery under different conditions. (a) Capacity test, (b) Discharge tests, (c) Charge test.