Fig. 9
From: A high-fidelity lithium-ion battery emulator for electric vehicle application

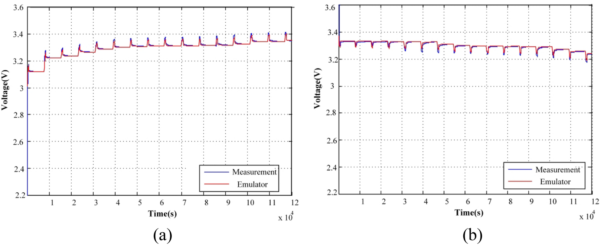
Verification of the battery emulator in charge and discharge mode. (a) Charge test, (b) Discjharge test.
From: A high-fidelity lithium-ion battery emulator for electric vehicle application

Verification of the battery emulator in charge and discharge mode. (a) Charge test, (b) Discjharge test.