Figure 10
From: Dynamic balance of circles with one support point on pommel horse exercise

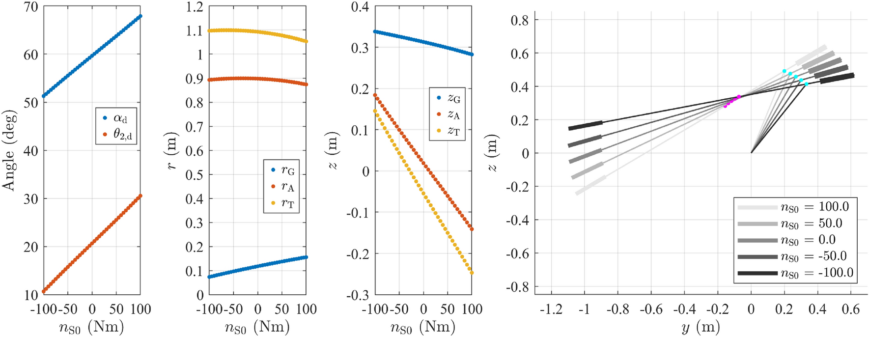
Effect of shoulder torque \(n_{{{\text{S0}}}}\).
From: Dynamic balance of circles with one support point on pommel horse exercise

Effect of shoulder torque \(n_{{{\text{S0}}}}\).