Figure 12
From: Dynamic balance of circles with one support point on pommel horse exercise

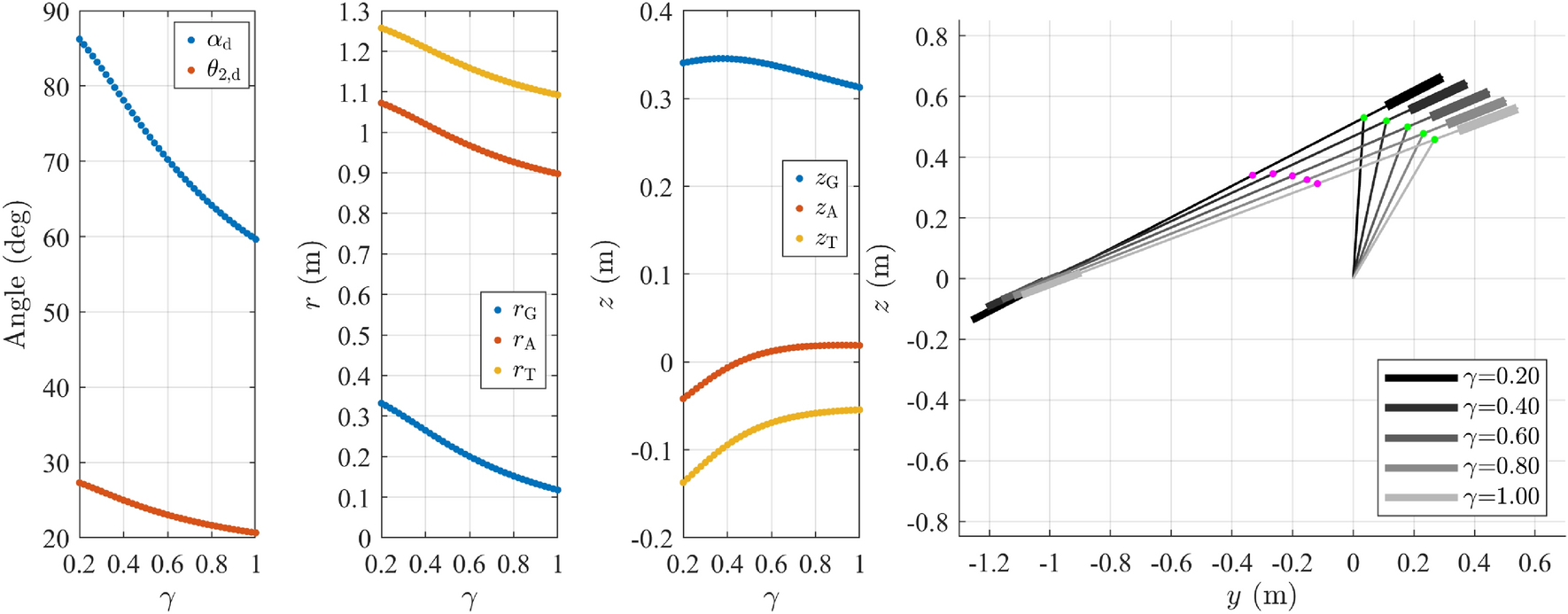
Effect of relative angular velocity of CoM \(\dot{\theta }_{{\text{G}}} = \gamma \omega _{{\text{d}}}\) on dynamic balance condition.
From: Dynamic balance of circles with one support point on pommel horse exercise

Effect of relative angular velocity of CoM \(\dot{\theta }_{{\text{G}}} = \gamma \omega _{{\text{d}}}\) on dynamic balance condition.