Figure 13
From: Dynamic balance of circles with one support point on pommel horse exercise

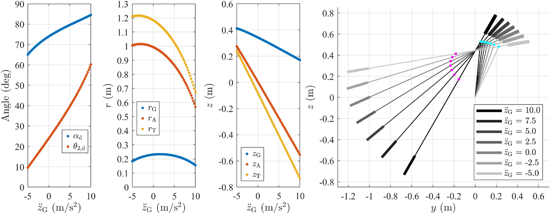
Effect of vertical acceleration of CoM \(\ddot{z}_{{\text{G}}}\) on dynamic balance condition.
From: Dynamic balance of circles with one support point on pommel horse exercise

Effect of vertical acceleration of CoM \(\ddot{z}_{{\text{G}}}\) on dynamic balance condition.