Figure 6
From: Dynamic balance of circles with one support point on pommel horse exercise

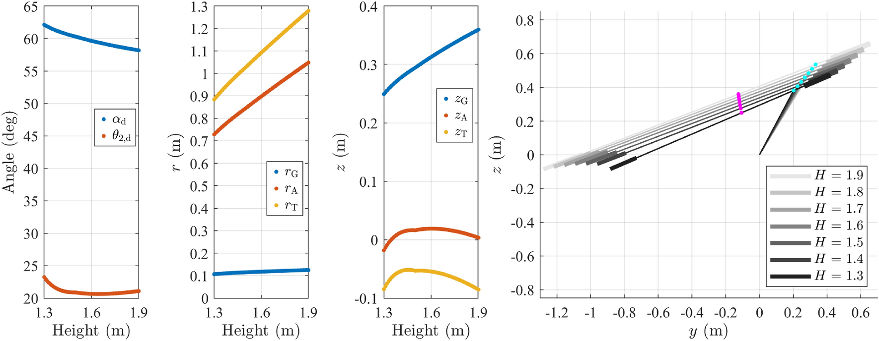
Effect of body height on dynamic balance condition.
From: Dynamic balance of circles with one support point on pommel horse exercise

Effect of body height on dynamic balance condition.