Figure 8
From: Dynamic balance of circles with one support point on pommel horse exercise

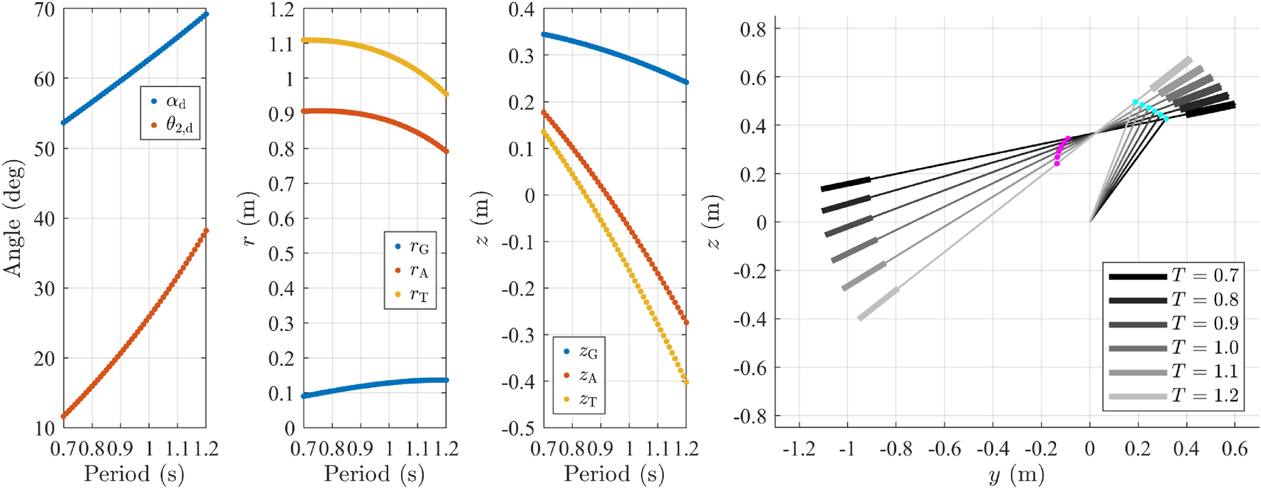
Effect of period T of one circle on dynamic balance condition.
From: Dynamic balance of circles with one support point on pommel horse exercise

Effect of period T of one circle on dynamic balance condition.