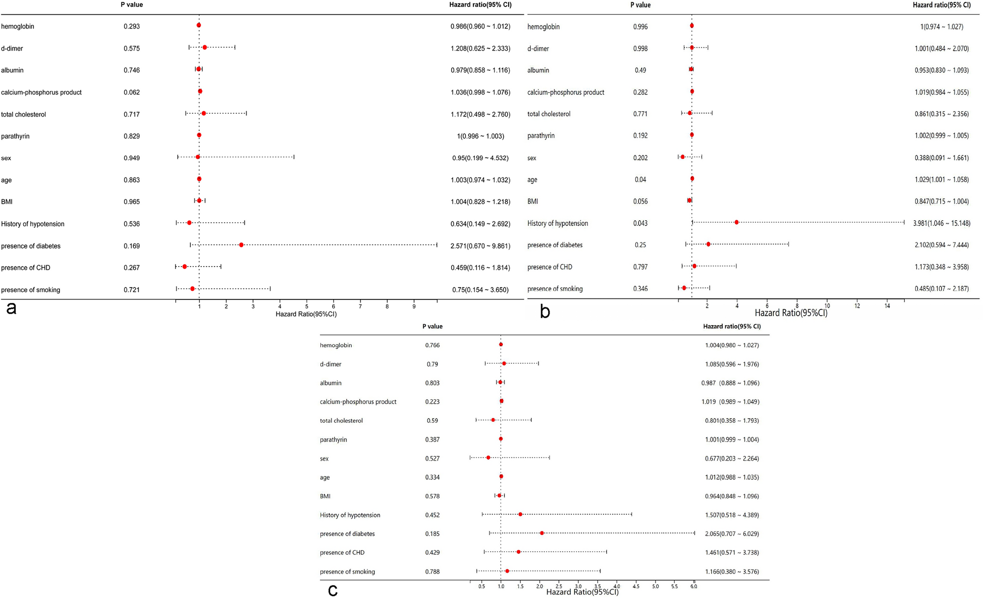
Fig. 3

Forest plot of factors associated primary patency (a), assisted primary patency (b), and secondary patency (c) in the AVF + iAS group based on multivariate Cox-regression.

Forest plot of factors associated primary patency (a), assisted primary patency (b), and secondary patency (c) in the AVF + iAS group based on multivariate Cox-regression.