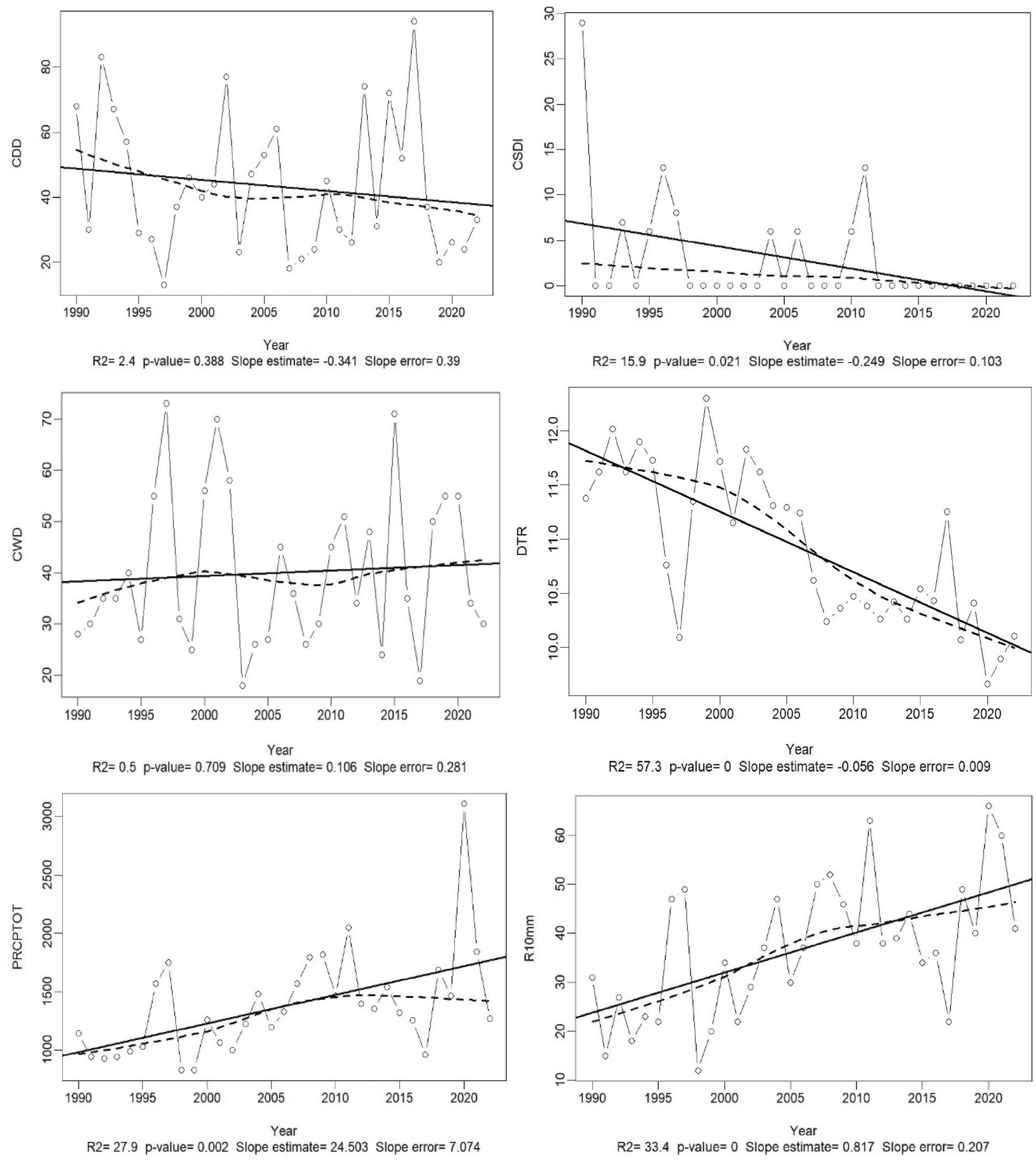
Fig. 6


Evaluation of the trend in climate data series in the Ruzizi plain in South-Kivu, eastern D.R. Congo (Indices were calculated following the formula and processes of the RClimDex 1.9 package as developed by Zhang and Yang53. The explanation and description of the indices used can be found in the same article or in the Supplementary Table 1. These trends apply for both watersheds since they are located in the same climatic zones.