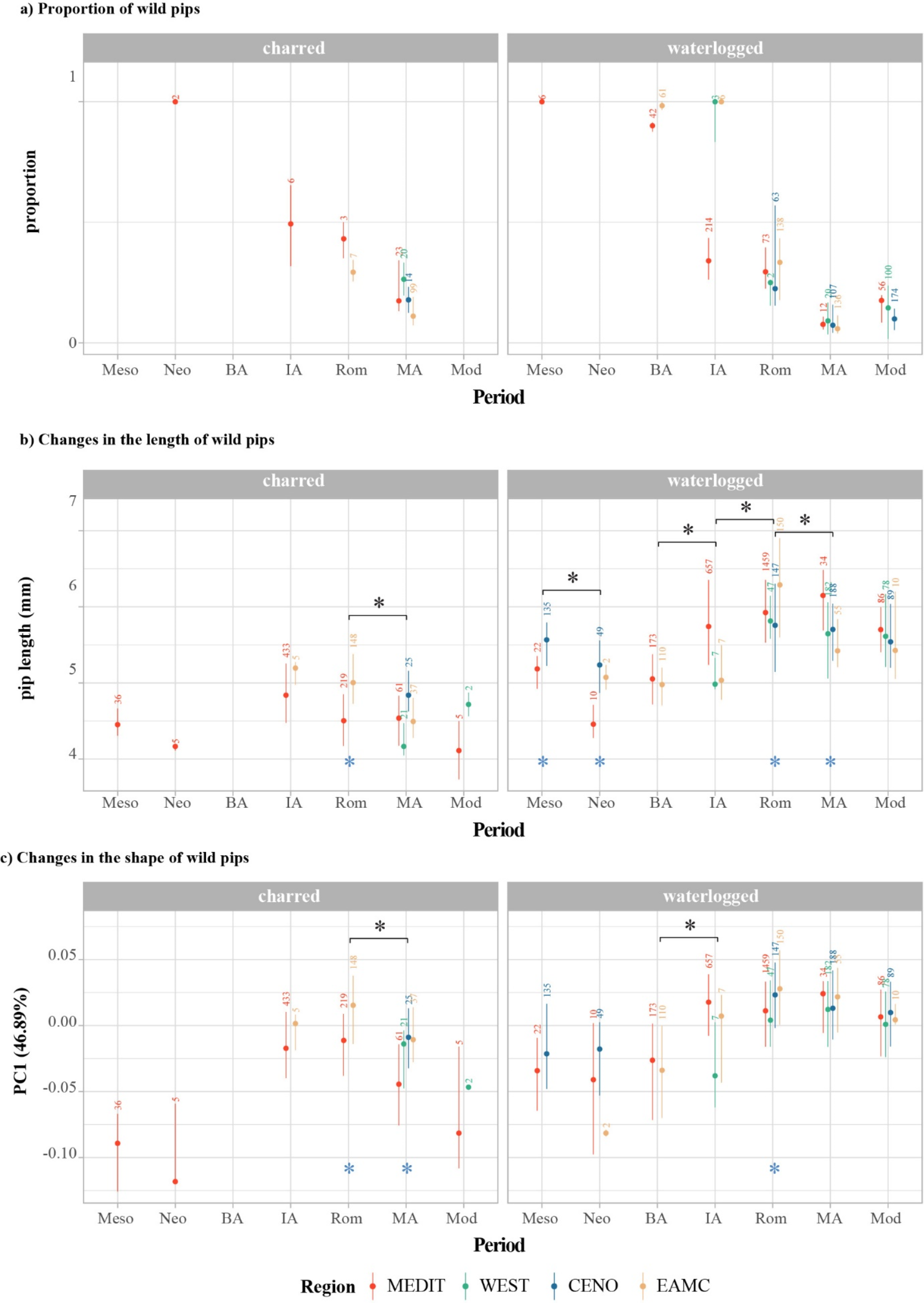
Fig. 5
From: Seed morphometrics unravels the evolutionary history of grapevine in France

Evolution of wild pips size and shape according to archaeological periods, seed preservation and ecological regions. (a) Proportion of wild pips identified by 100 balanced LDA in the assemblages using the EFT (shape) method. Only groups > 2 samples per period are shown. The dots represent the median proportion and the ends of the bars the first and third quartiles, (b) Changes in the length of the pips identified as wild (mm), (c) Changes in the shape of the pips identified as wild. The shape is represented by the coordinates of the pips on the first component of the PCA performed on EFT coefficients. The number of studied pips is indicated for each combination preservation x period x region. Differences between consecutive periods were tested using pairwise Wilcoxon tests: *. Differences between regions within periods were tested using Kruskal-Wallis tests: *. Only p-values < 0.001 are shown.