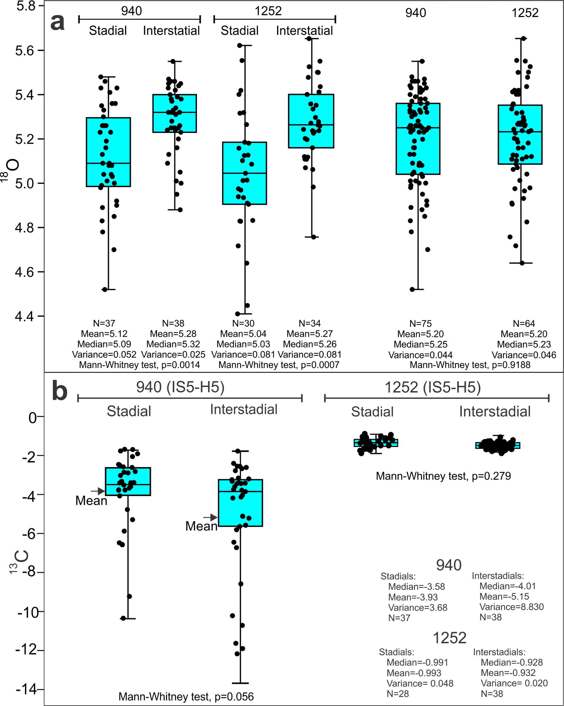
Fig. 6

Boxplots (box and whisker plot) comparing δ18O and δ13C values from stadials and interstadials of cores 940 and 1252 comprising the interval from interstadial IS5 to Heinrich events H5 (see Fig. 5). The box represents the interquartile range of the data. The median value is indicated by a bar. The length of the whiskers indicates the range of the measured values. a Comparison of δ18O values from stadials and interstadials of cores 940 and 1252 and a comparison of all values from the two cores from the interval given above. b Comparison of δ13C values from stadials and interstadials of cores 940 and 1252 comprising the interval given above. Basic statistical information is given for each of the investigated elements. Similarities between stadial and interstadials were tested using Mann-Whitney test. The p-value for each comparison is indicated. Boxplot and tests were made using the Past3 Statistical Program80.