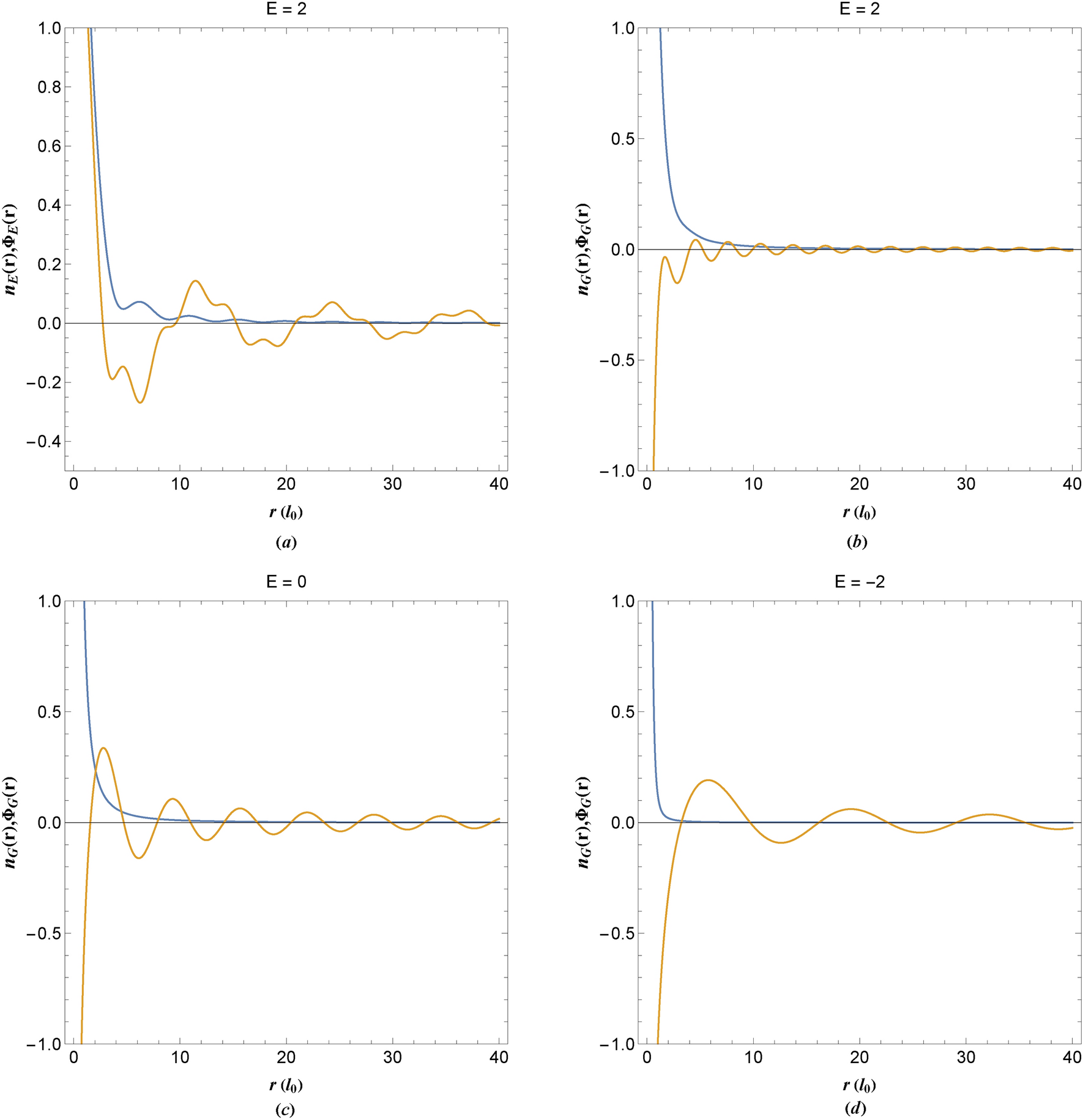
Fig. 11
From: Divergent features of collective gravitational quantum excitations

(a) The radial density and electrostatic potential distribution of mono-pole plasmon excitation with unit charge at orbital \(E=2\). (b) The radial density and gravitational potential distribution of mono-pole GQ excitation with unit mass at orbital \(E=2\). (c) The radial density and gravitational potential distribution of mono-pole GQ excitation with unit mass at orbital \(E=0\). (d) The radial density and gravitational potential distribution of mono-pole GQ excitation with unit mass at orbital \(E=-\,2\).