Fig. 4
From: Roles of network topology in the relaxation dynamics of simple chemical reaction network models

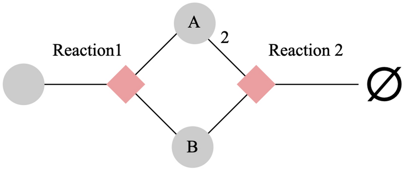
A toy model to illustrate the power-law and plateau relaxation. The leftmost chemical is the external chemical whose concentration is fixed to a constant value.