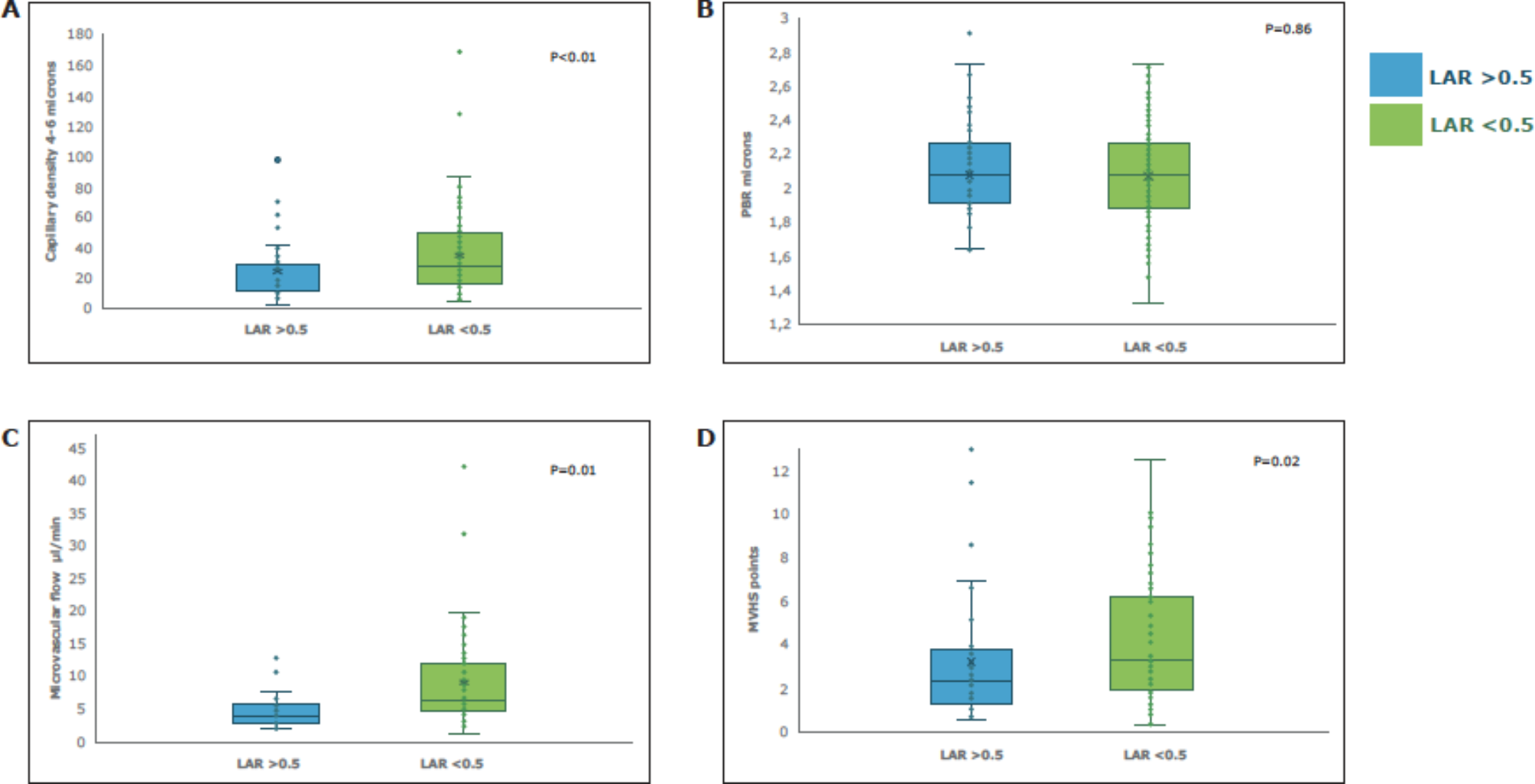
Fig. 2

Microcirculatory and lactate-albumin ratio changes on admission in children with sepsis. LAR: lactate-albumin ratio. PBR: perfused boundary region. CBV: capillary blood volume. MVHS: Microvascular Health Score (relationship between the CBV/PBR). The Mann-Whitney U test was performed on the analyzed variables.