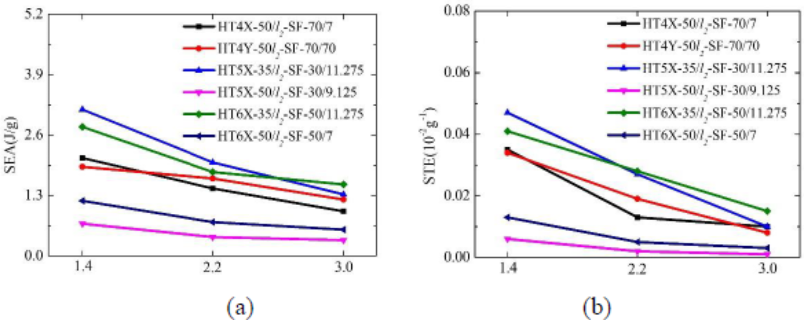
Fig. 7

Comparison of energy absorption for different tubular length ratios (a) specific energy absorption and (b) specific total efficiency.

Comparison of energy absorption for different tubular length ratios (a) specific energy absorption and (b) specific total efficiency.