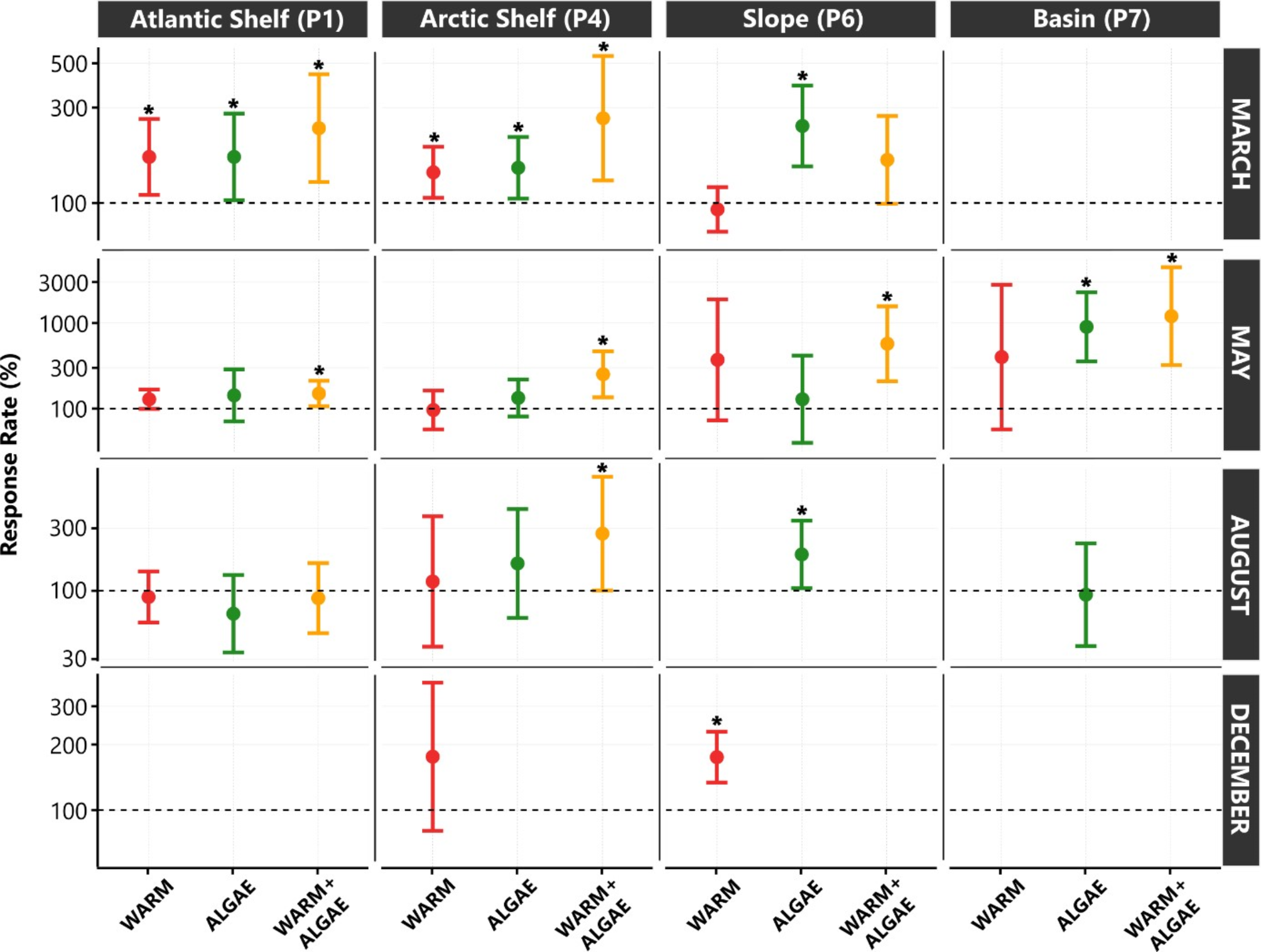
Fig. 3

Sediment oxygen demand (SOD) rates shown as a response rate (%) of each treatment (x-axis) in relation to baseline SOD rates (amb treatment). Error bars represent 95% confidence intervals of the three manipulative treatments, and when they intersect the line at 100% there is no significant difference from baseline (amb) rates. Rates that were statistically significantly different from amb rates (i.e. above the 100% dashed line) are indicated with an asterisk. Month of sampling is indicated on the right of each row of figures. See Supporting Information Table 1 for rates for individual replicates.