Fig. 5
From: Visualising the strength development of FICP-treated sand using impedance spectroscopy

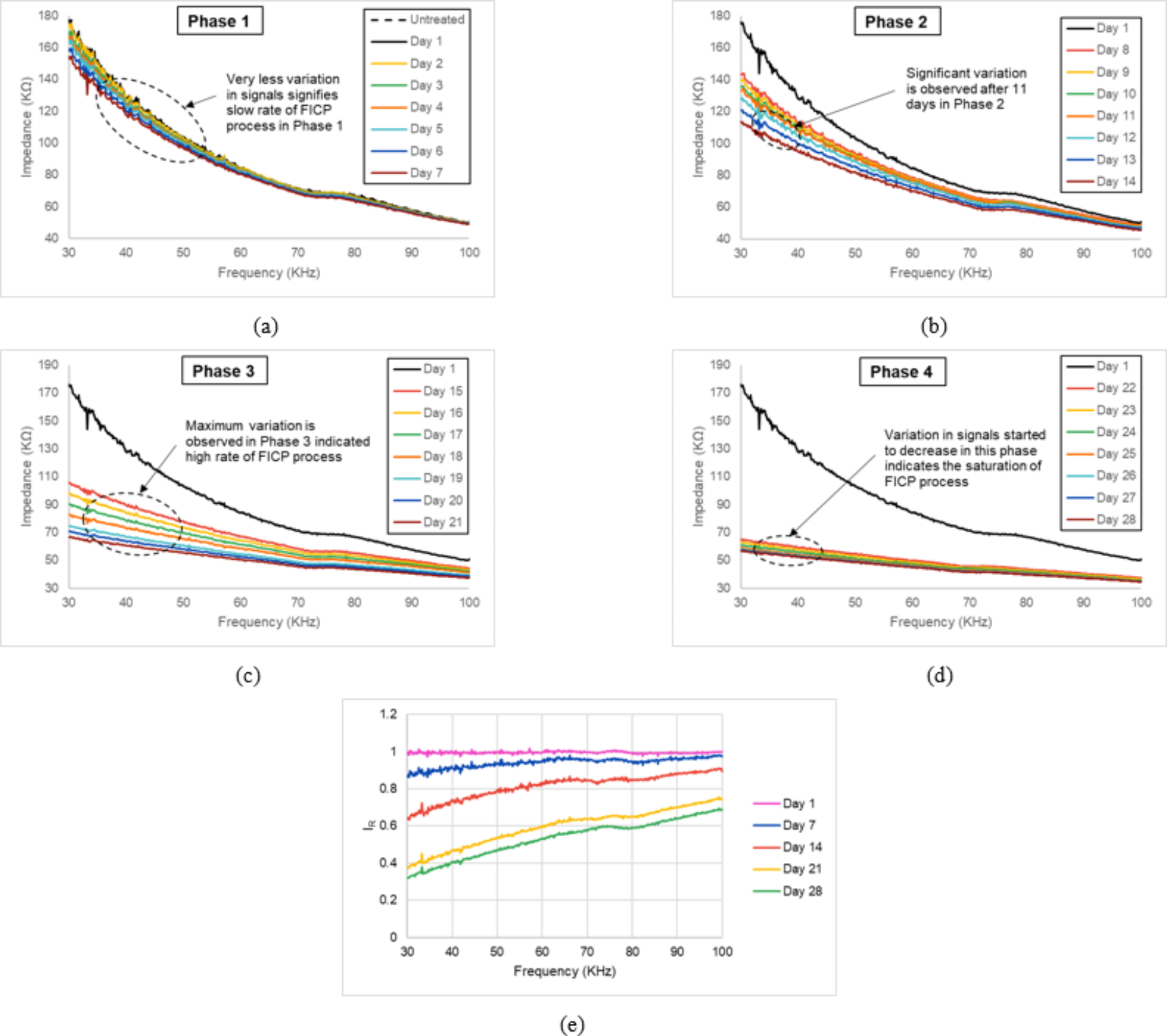
Impedance signals variation from day 1 to day 28 in the frequency range of 30–100 kHz, (a) Day 1–7 (Phase 1), (b) Day 8–14 (Phase 2), (c) Day 15–21 (Phase 3), (d) Day 22–28 (Phase 4), and (e) Temporal variation of IR (ratio of treated impedance at the end of each phase and untreated impedance).