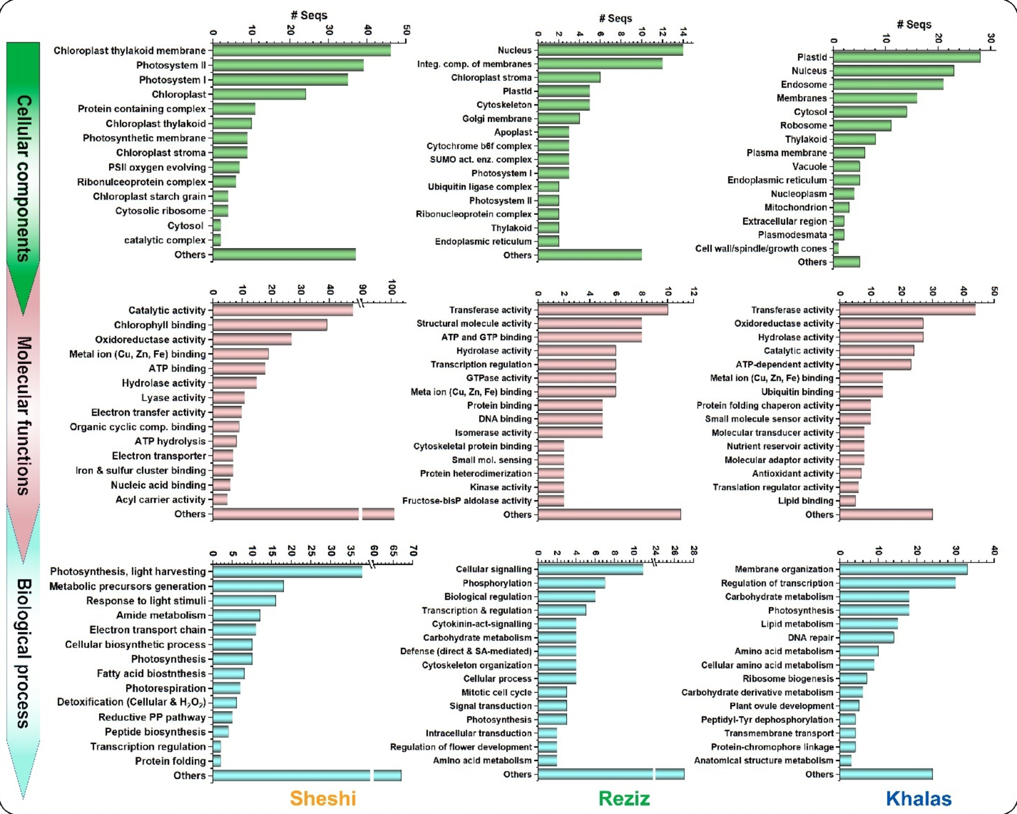
Fig. 4

Inferred gene ontology (GO) analysis of ESTs in Khalas, Reziz, and Sheshi. GO terms were organized contingent on p-valuesāā¤ā10. Each bar (x-axis) represents a specific GO term, categorized into three main branches: cellular components (green), molecular functions (pink), and biological processes (cyan). The height of each bar (y-axis) corresponds to the relative abundance of ESTs associated with that specific GO term.