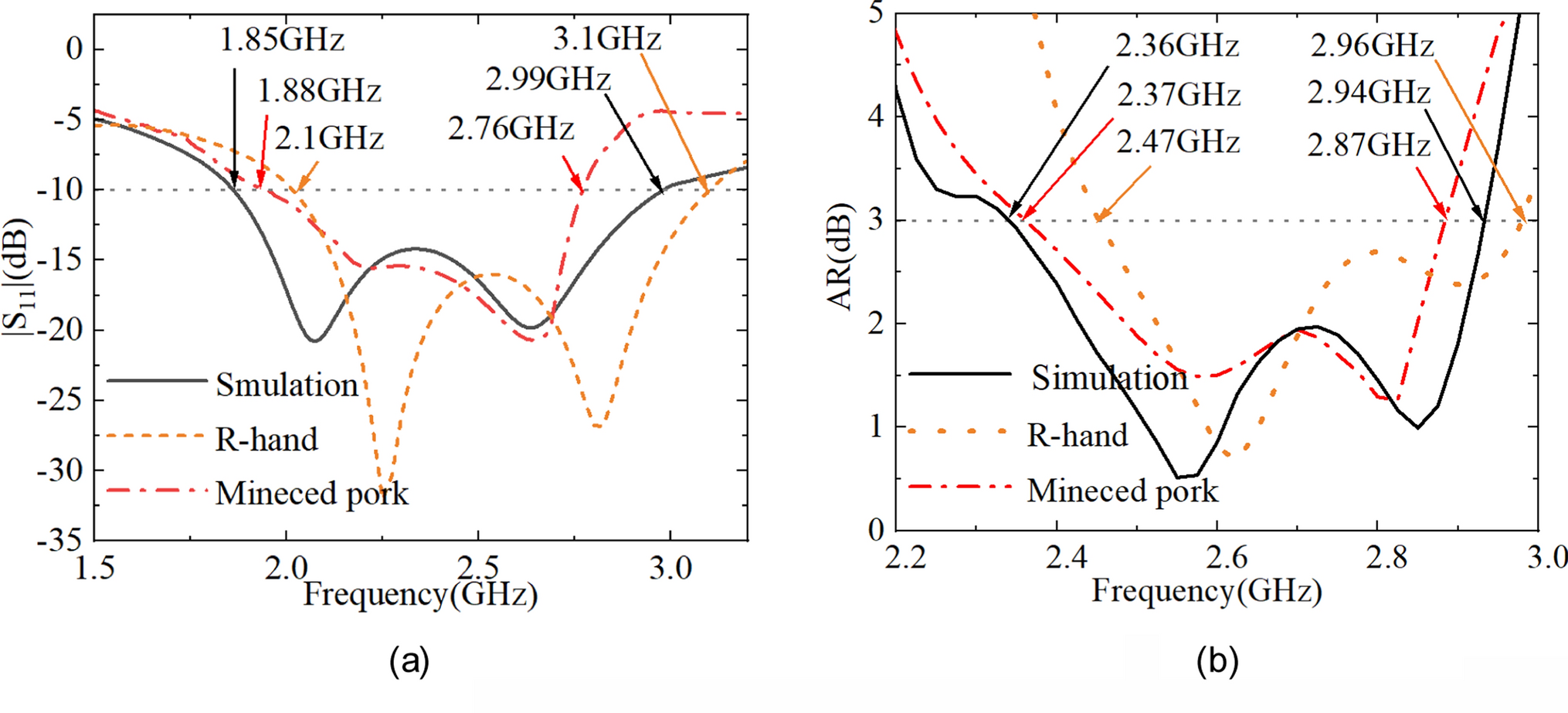
Fig. 7

Comparison of three-layer model, arm model simulation and real measurements in minced pork. (a) S-parameter comparison. (b) ARBW comparison.

Comparison of three-layer model, arm model simulation and real measurements in minced pork. (a) S-parameter comparison. (b) ARBW comparison.