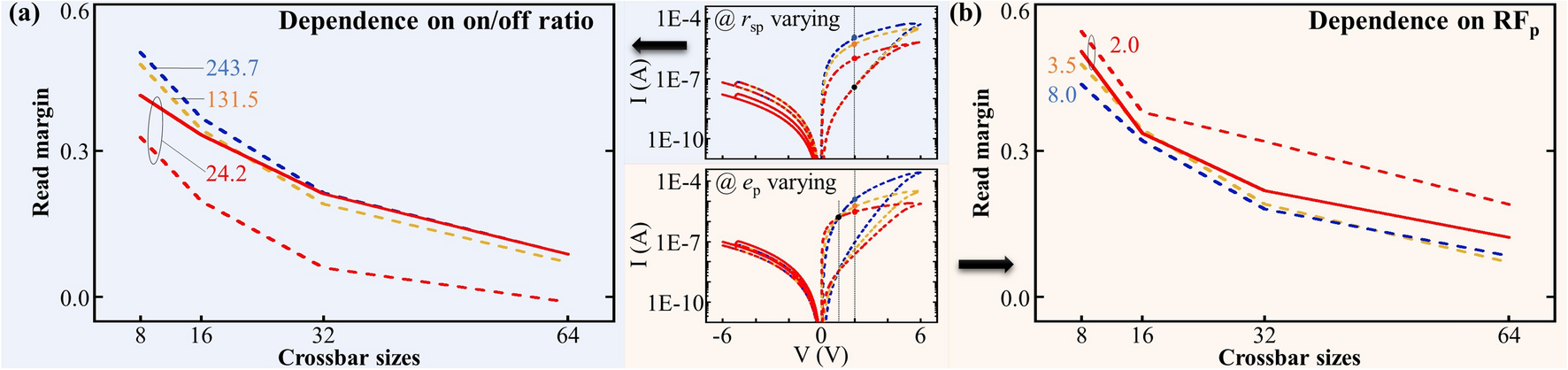
Fig. 2

Evaluation of RM with respect to crossbar sizes up to 64 \(\times\) 64 in dependence on the modification of (a) the on/off ratios (243.7 (blue dash line)/131.5 (orange dash line)/24.2 (red dash line)) by varying \(r_\text {sp}\) (5.0E−3 \(\Omega\)/5.0E−2 \(\Omega\)/5.0E−1 \(\Omega\)) and (b) the nonlinearity \(\text {RF}_\text {p}\) (8.0 (blue dash line)/ 3.5 (orange dash line)/ 2.0 (red dash line)) by varying \(e_\text {p}\) (3.0 / 1.8 / 1.0). \(k_\text {n}\) is kept as 1.0E−7 V. Insets demonstrate corresponding \(I-V\) characteristics (a) by varying \(r_\text {sp}\) and (b) by varying \(e_\text {p}\). The solid red lines illustrate (a) a slight decrease in leakage current achieved by reducing \(k_\text {n}\) from 1.0E−7 V to 2.5E−8 V, and (b) a slight increase in leakage current achieved by increasing \(k_\text {n}\) from 1.0E−7 V to 1.5E−7 V, while maintaining (a) a constant on/off ratio of 24.2 (\(r_\text {sp}\) = 5.0E−1 \(\Omega\)) and (b) \(\text {RF}_\text {p}\) = 2.0 (\(e_\text {p}\) = 1.0). This slight change of \(k_\text {n}\) has a significant effect on the evaluation of RM, indicating that the on/off ratio and \(\text {RF}_\text {p}\) cannot be used as reliable parameters for assessing the functional performance of passive crossbars.