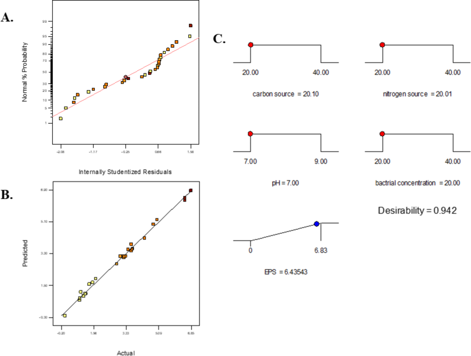
Fig. 8

(A) Normal plot of residuals; (B) Predicted versus actual plot for EPS production and (C) Ramp chart for optimization conditions of EPS production by Med1, developed by Design Expert software.

(A) Normal plot of residuals; (B) Predicted versus actual plot for EPS production and (C) Ramp chart for optimization conditions of EPS production by Med1, developed by Design Expert software.