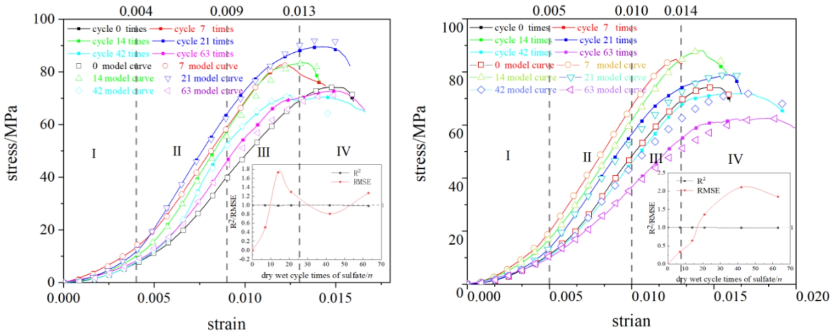
Fig. 7

Comparison between the calculation results of the model built in this paper and the test curve. (a) 5% sulfate solution (b) 15% sulfate solution.

Comparison between the calculation results of the model built in this paper and the test curve. (a) 5% sulfate solution (b) 15% sulfate solution.