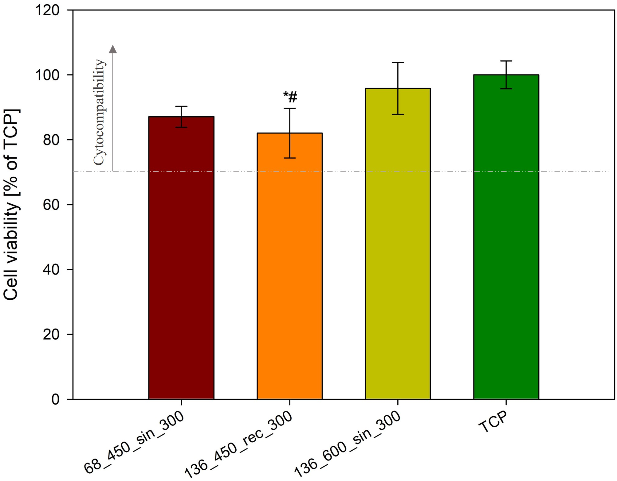
Fig. 9

fHOB viability on tested specimens after 3-day culture. Results are expressed as a percentage of cell viability compared to the cell viability on the tissue culture plate (TCP) (n = 4; data are expressed as the mean ± SD; * statistically significant difference as compared to TCP (p < 0.05); # statistically significant difference as compared to the 136_600_sin_300 specimens (p < 0.05); there is no statistically detected difference between other specimens). All coatings are cytocompatible.