Fig. 4
From: Health risks and sources of PCDD/Fs and PCBs residue in cultured crabs

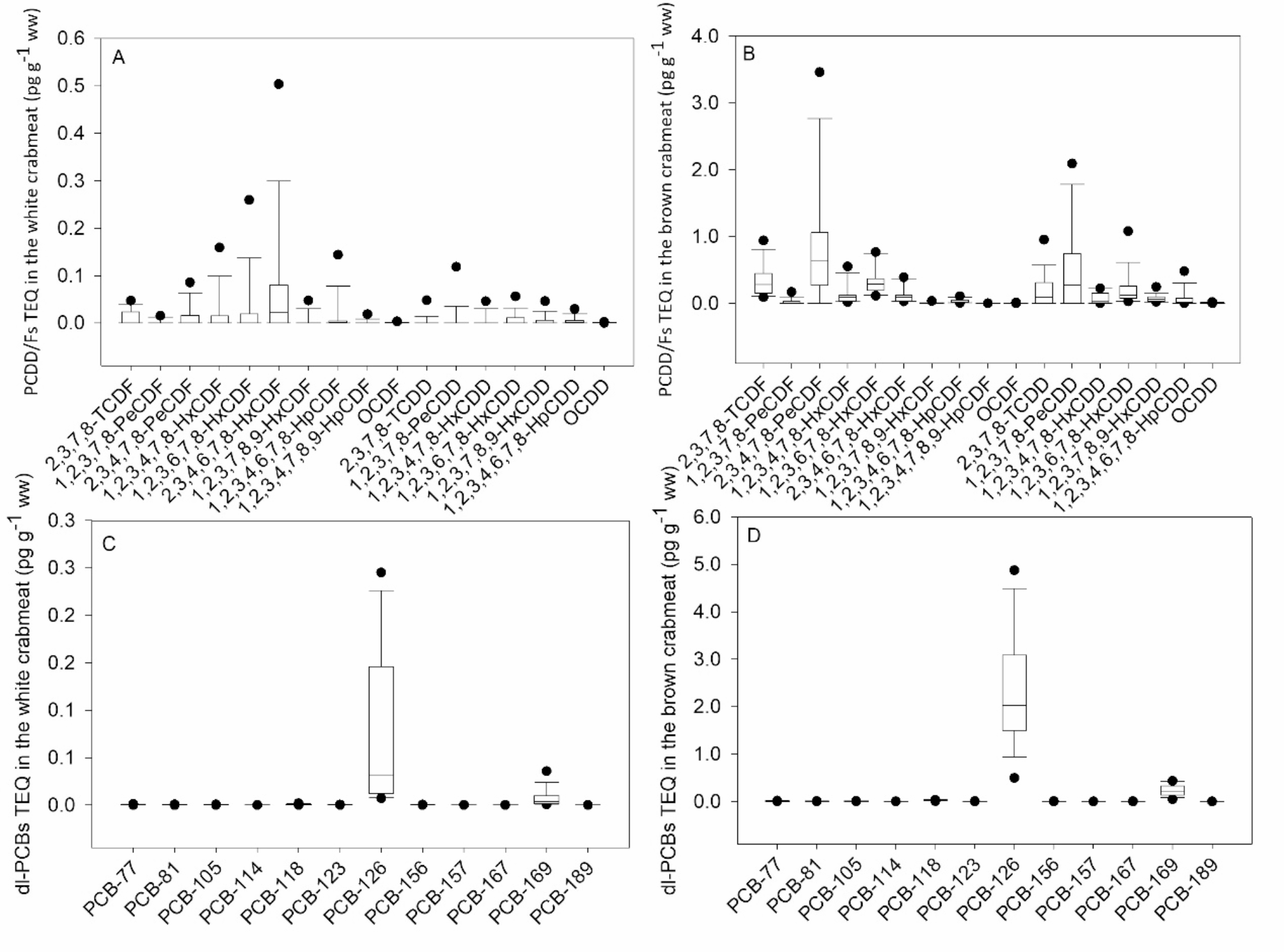
TEQ distributions of PCDD/F and dl-PCB congeners on the basis of wet weight in the white (A and C) and brown crabmeat (B and D).
From: Health risks and sources of PCDD/Fs and PCBs residue in cultured crabs

TEQ distributions of PCDD/F and dl-PCB congeners on the basis of wet weight in the white (A and C) and brown crabmeat (B and D).