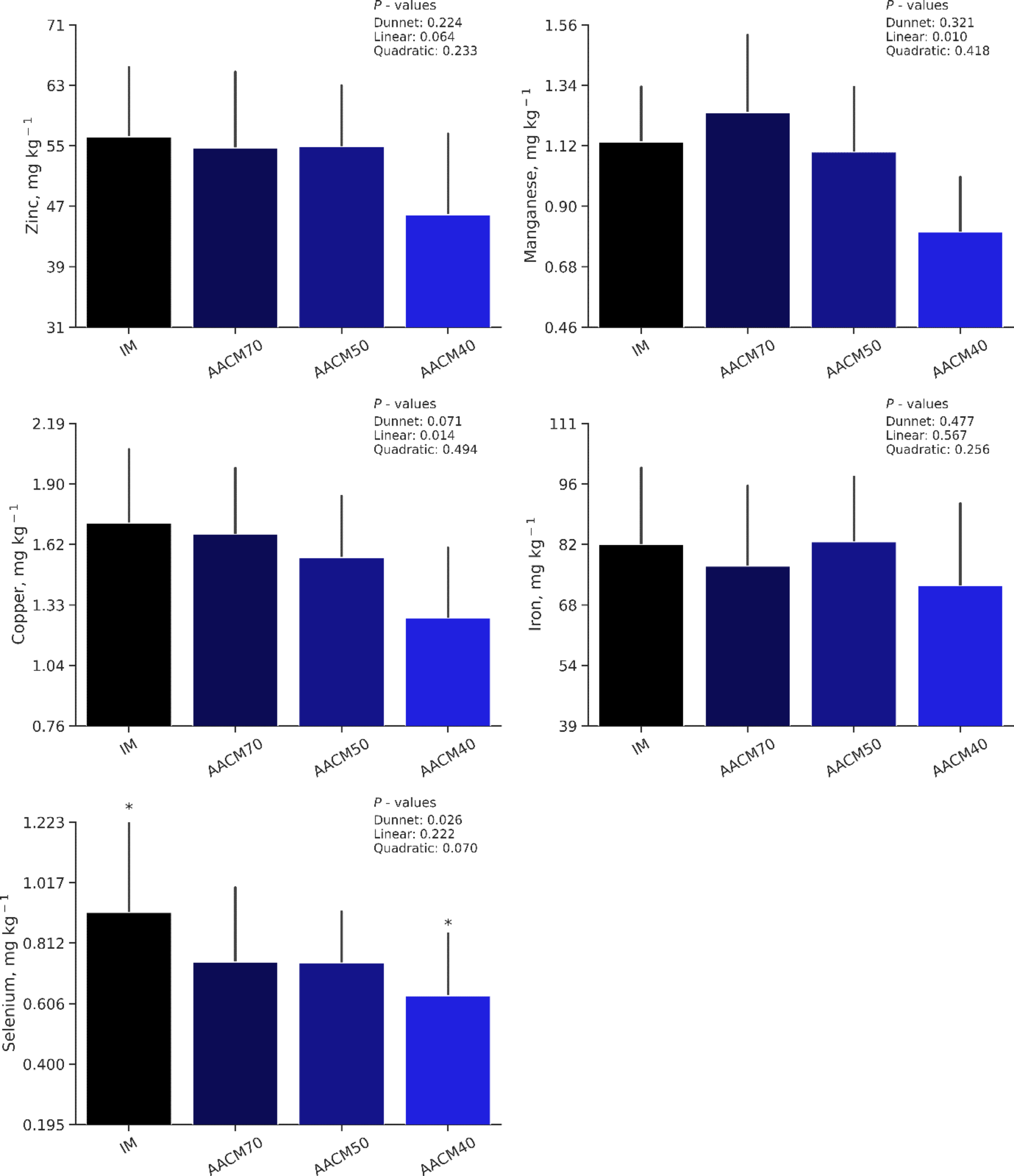
Figure 1
From: Levels of substitution of inorganic mineral to amino acids complexed minerals on old laying hens

Egg yolk mineral deposition of trace minerals in eggs from laying hens fed different sources and levels of Zn, Mn, Cu, Fe, Se, and I from 78 to 98 weeks of age (mg/kg of dry yolk). IM = 60, 60, 7, 40, 0.2, and 2 mg/kg of Zn, Mn, Cu, Fe, Se, and I, respectively; AACM70 = 42.0, 42.0, 4.9, 28, 0.14, and 1.4 mg/kg of Zn, Mn, Cu, Fe, Se, and I, respectively; AACM50 = 30, 30, 3.5, 20, 0.10, and 1 mg/kg of Zn, Mn, Cu, Fe, Se, and I, respectively; AACM40 = 24, 24, 2.8, 16, 0.08, and 0.80 of Zn, Mn, Cu, Fe, Se, and I, respectively. *Differ significantly by Dunnett’s test ( P < 0.05).