Fig. 6
From: Research on hybrid strategy Particle Swarm Optimization algorithm and its applications

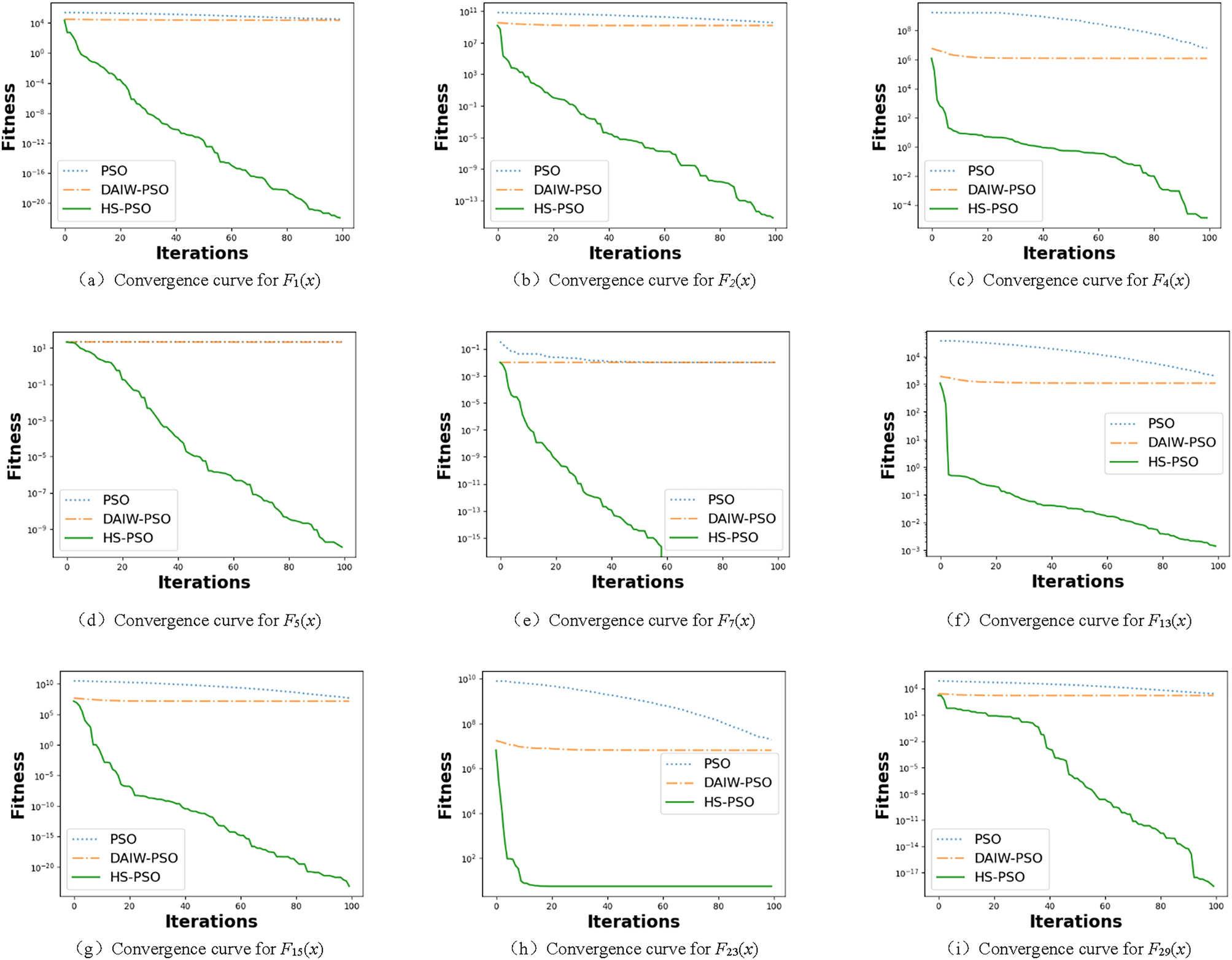
Convergence curves for benchmark functions F1(x), F2(x), F4(x), F5(x), F7(x), F13(x), F15(x), F23(x), and F29(x) of CEC-2014.
From: Research on hybrid strategy Particle Swarm Optimization algorithm and its applications

Convergence curves for benchmark functions F1(x), F2(x), F4(x), F5(x), F7(x), F13(x), F15(x), F23(x), and F29(x) of CEC-2014.