Fig. 12
From: Thermo-mechanical coupling characteristics of the shearer’s guiding shoe during the friction

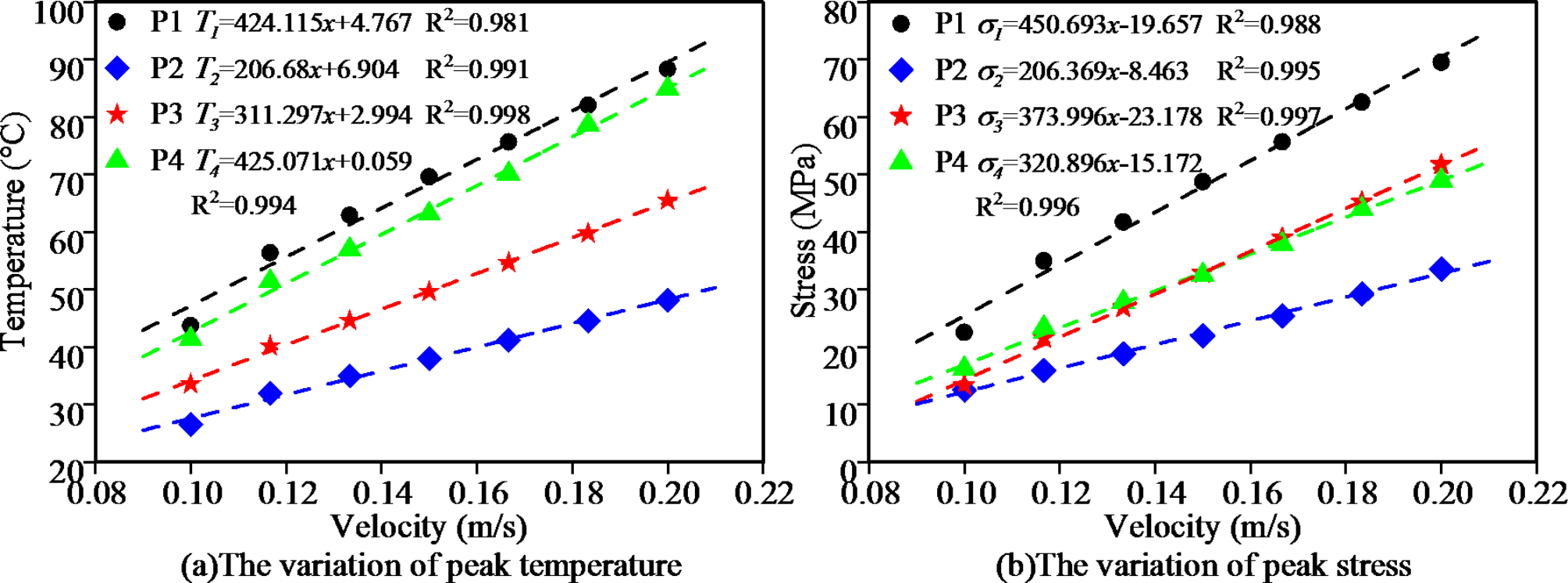
The variation of peak temperature and peak stress of each path with increasing traction speed.
From: Thermo-mechanical coupling characteristics of the shearer’s guiding shoe during the friction

The variation of peak temperature and peak stress of each path with increasing traction speed.