Fig. 11
From: Scalable deep learning artificial intelligence histopathology slide analysis and validation

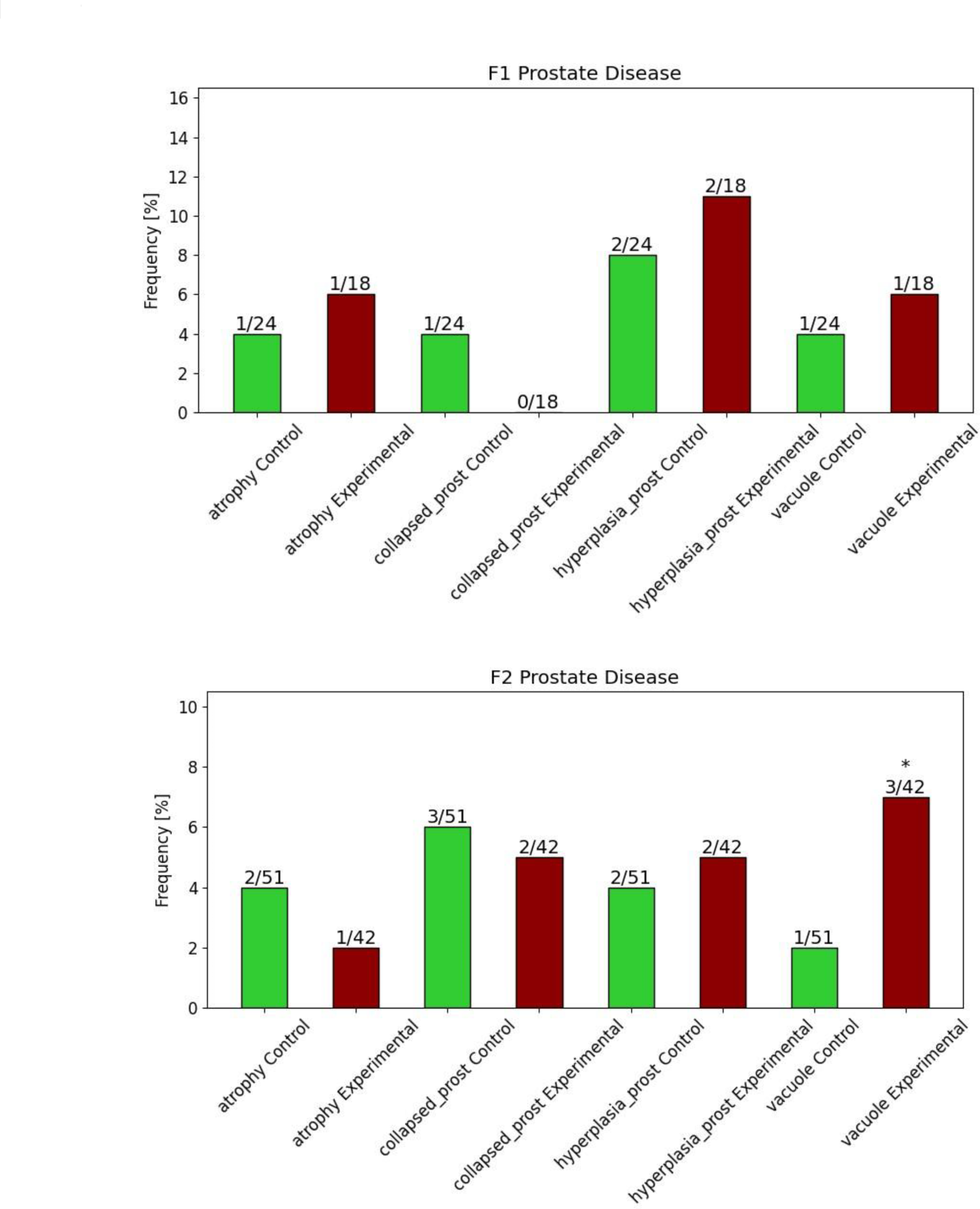
Deep learning pathology independent analysis for F1 (top) and F2 (bottom) groups for prostate tissue. Each bar graph shows the frequency of each pathology per image for each of the examined organs in the animals. The pathology/group pair is shown as text below each bar, the total number of pathologies is specific to the tissue type. The total number in each bar is the total number of tissue slides for each group/tissue pair. Asterisks indicating a statistical difference as determined by Fisher exact test (∗)p < 0.05, (∗∗)p < 0.01, and (∗∗∗)p < 0.001 are presented above the experimental group bars.