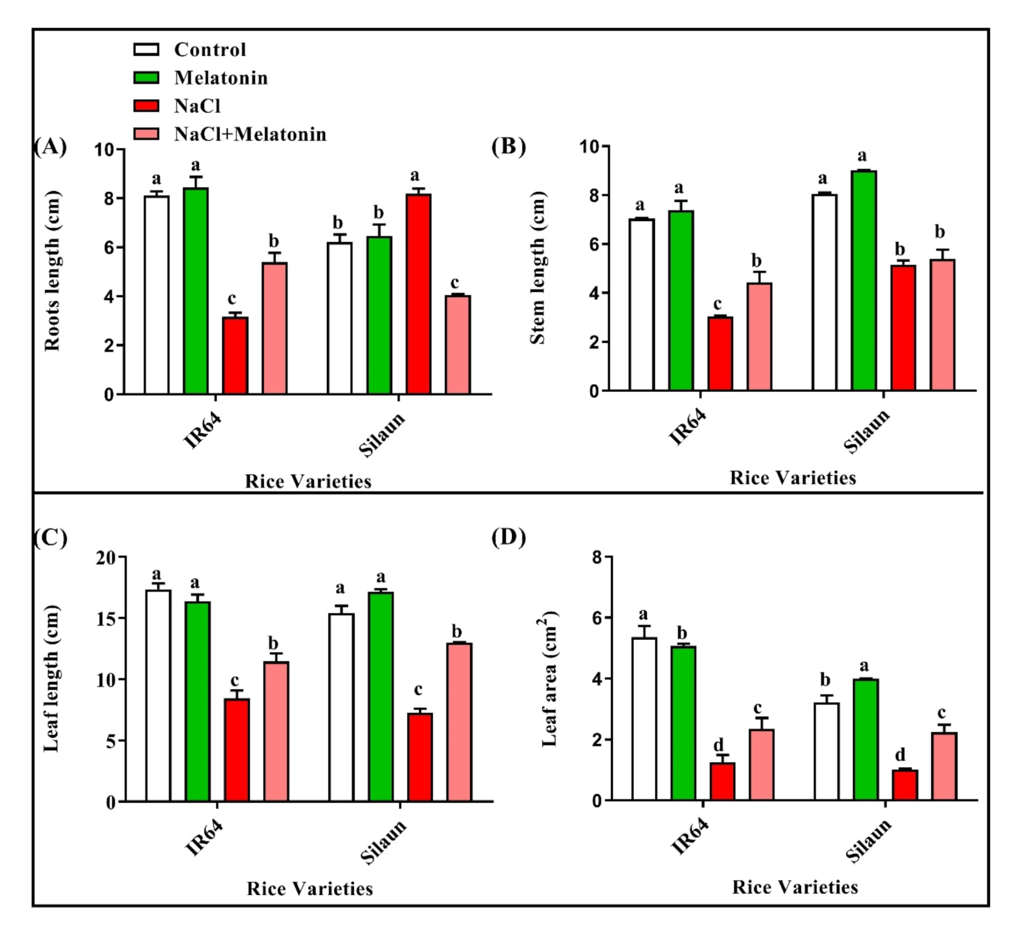
Fig. 2

The effect of NaCl and melatonin treatment on (A) root length, (B) stem length, (C) leaf length, and (D) leaf area after 8 days of treatment. Different letters indicate significantly different results based on a 5% significance level using Duncan’s Multiple Range Test (DMRT). Error bars represent the mean ± standard error of mean (SEM) calculated from 3 replicates. For each condition, 14 plants were used from per replicate.