Figure 4

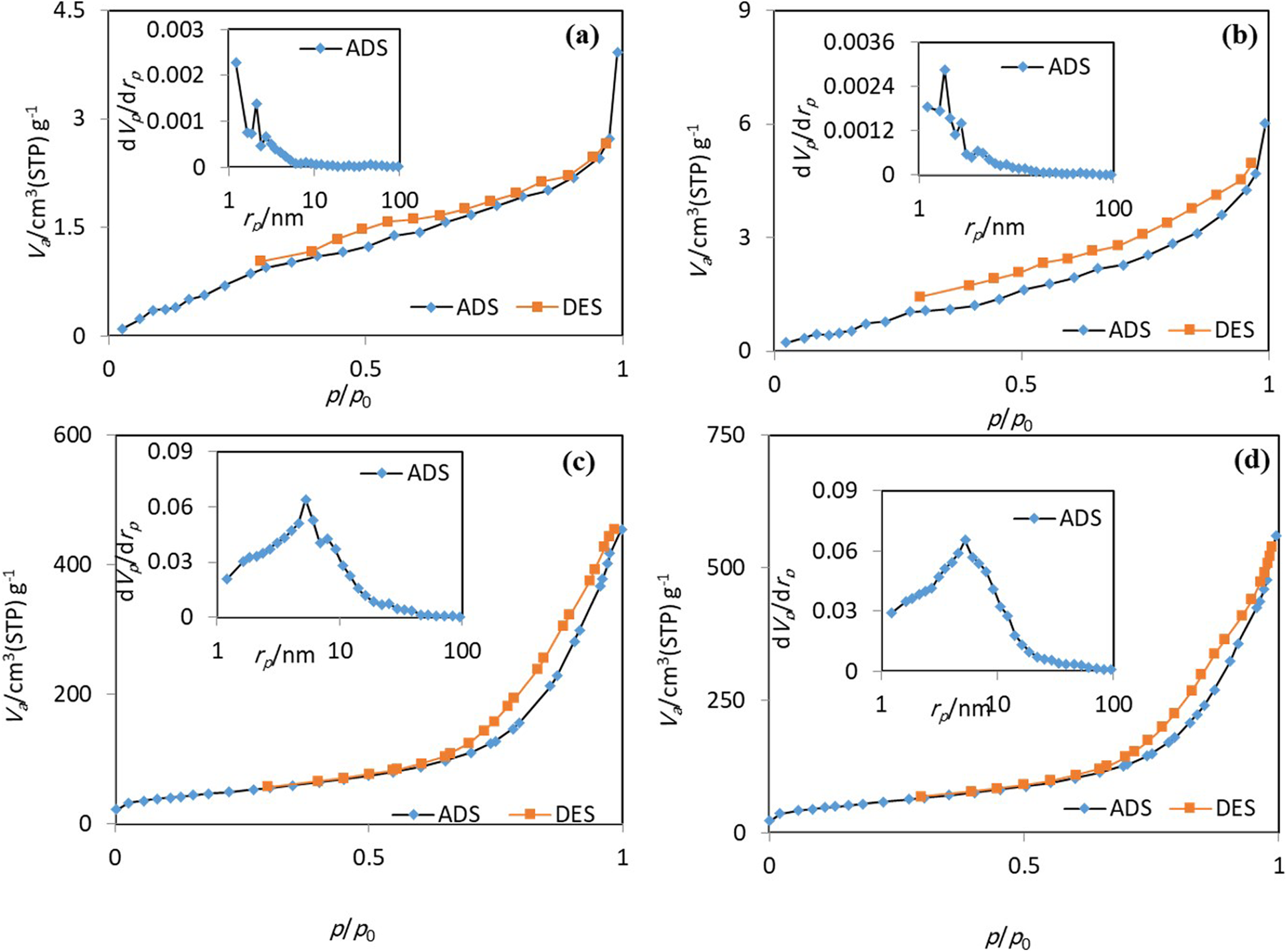
Nitrogen adsorption/desorption isotherms and the pore size distributions (inset) of (a) raw QS, (b) NaOH-treated QS, (c) CNCs, and (d) DCNCs samples.

Nitrogen adsorption/desorption isotherms and the pore size distributions (inset) of (a) raw QS, (b) NaOH-treated QS, (c) CNCs, and (d) DCNCs samples.