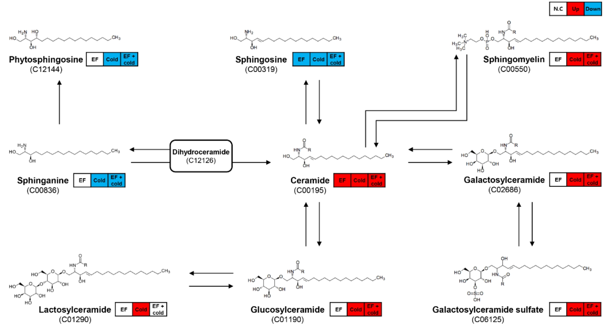
Fig. 6
From: Metabolite changes by combined treatment, ethyl formate and low temperature, in Drosophila suzukii

Pathway analysis of sphingolipid metabolism. Up- and downregulated lipids are indicated by red and blue lines, respectively. The numbers represent the KEGG IDs.