Fig. 5
From: Diversity and future perspectives of Mediterranean deep-water oyster reefs

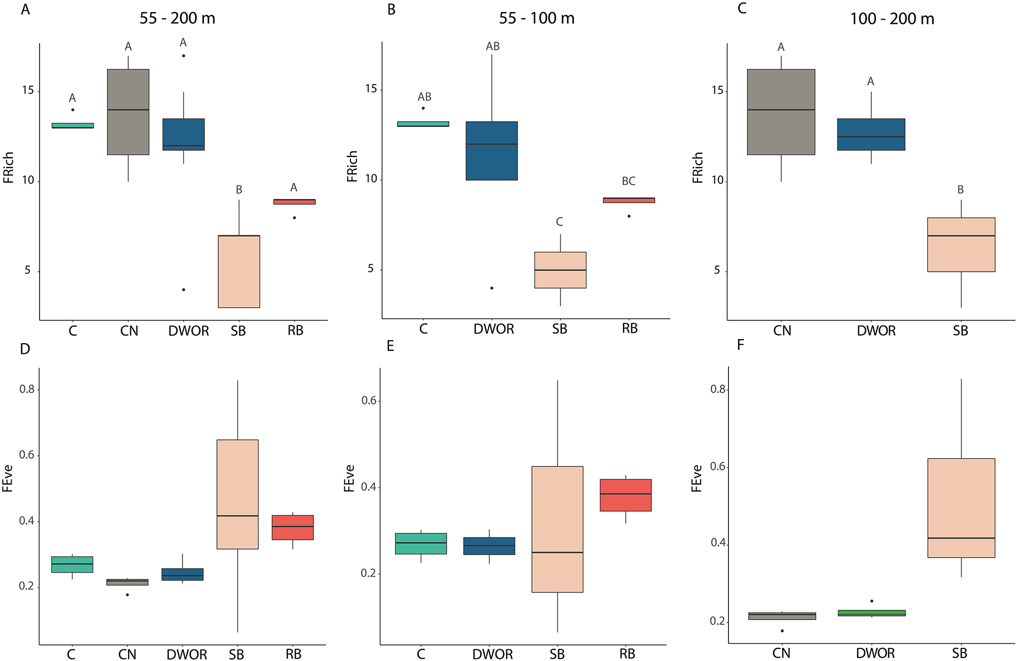
Boxplot of functional richness and evenness considering all dives, dives within the depth range 55–100 m, and dives within the depth range 100–200 m. Boxes extend from the 25th to the 75th percentile with the horizontal line representing median value. The vertical lines indicate the most extreme values within 1.5 interquartile range of the 25th and 75th percentile. Letters refer to significant differences.