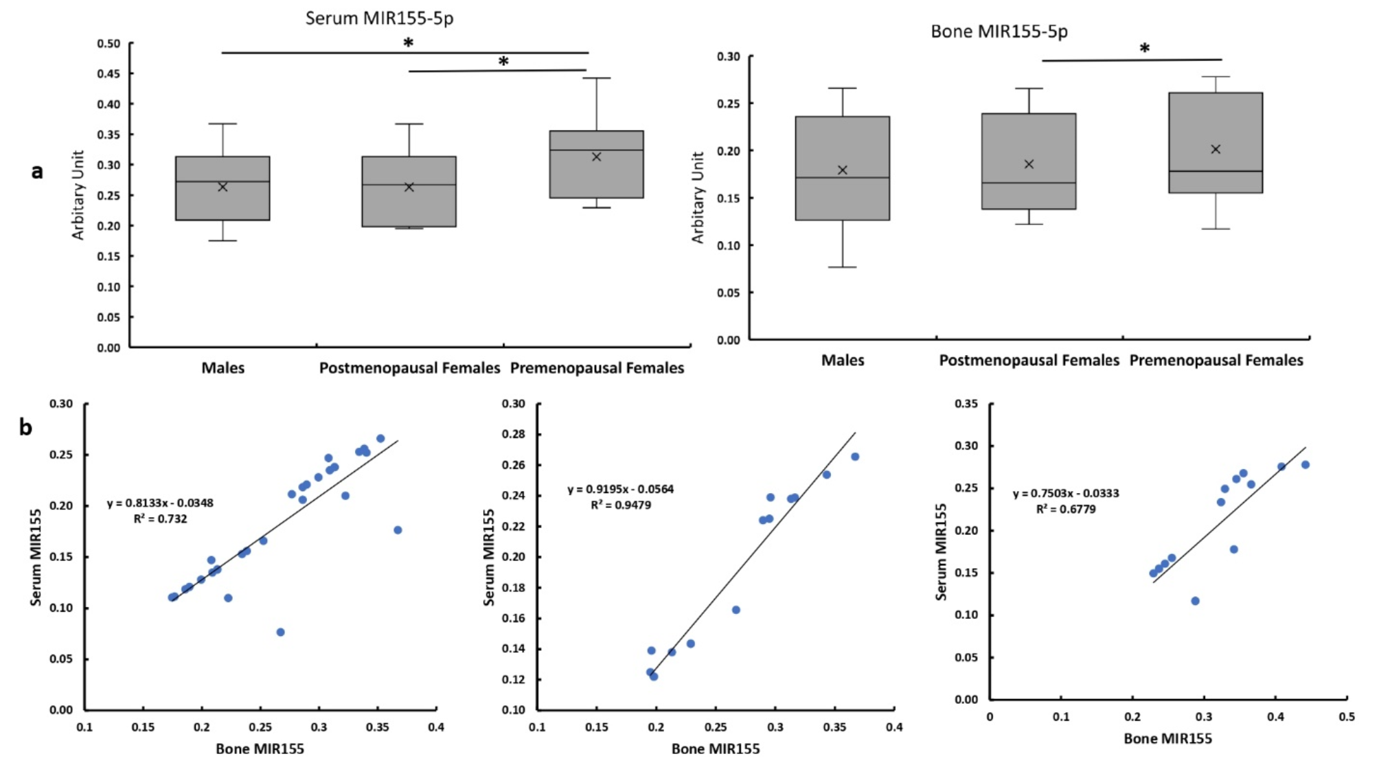
Fig. 3

Circulatory and bone levels of MIR155 in all studied groups.  a Serum MIR155 expression levels in bone and serum in males, post and premenopausal females. b Correlation between MIR155 bone expression with its circulatory levels in males, and post, and premenopausal females.