Fig. 11
From: EDSSR: a secure and power-aware opportunistic routing scheme for WSNs

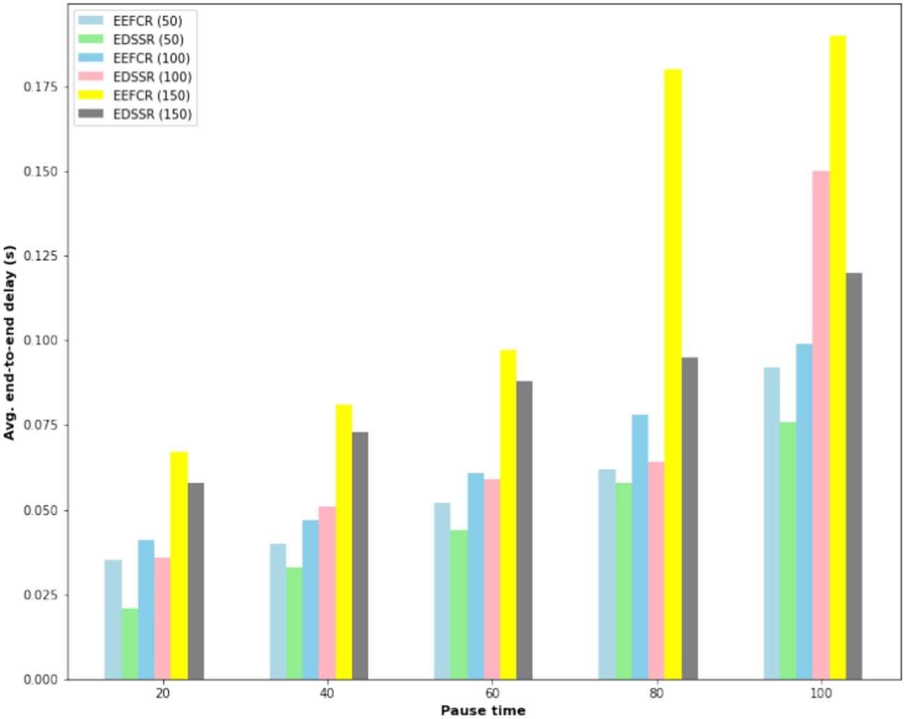
Comparison of average \(E^2 delay\) vs. pause time.
From: EDSSR: a secure and power-aware opportunistic routing scheme for WSNs

Comparison of average \(E^2 delay\) vs. pause time.