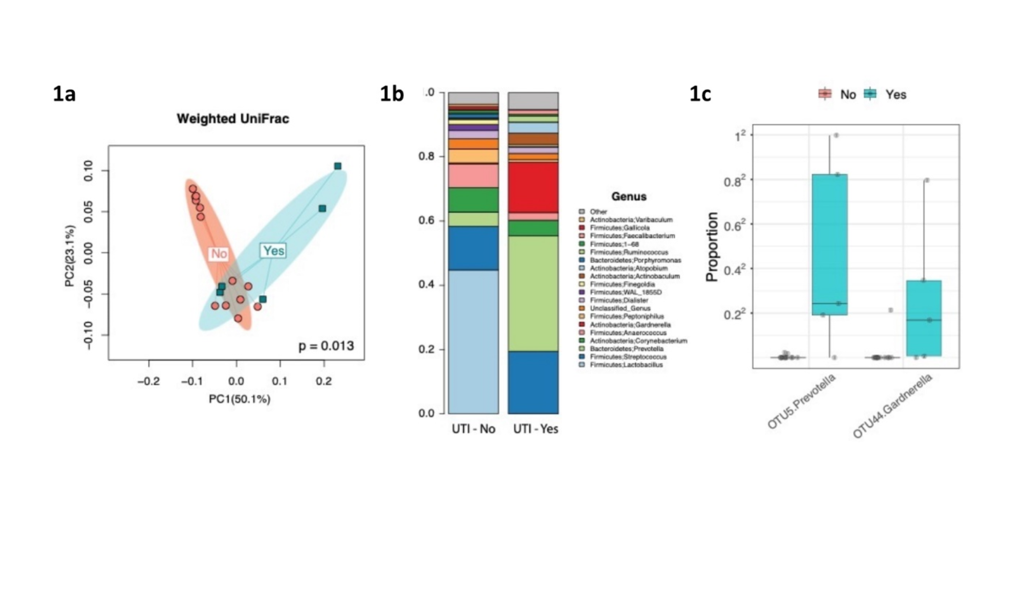
Fig. 1
From: Preoperative vaginal microbiome as a predictor of postoperative urinary tract infection

Vaginal swab stratified by urinary tract infection. UTI - No: No postoperative UTI; UTI - Yes: Postoperative UTI.
From: Preoperative vaginal microbiome as a predictor of postoperative urinary tract infection

Vaginal swab stratified by urinary tract infection. UTI - No: No postoperative UTI; UTI - Yes: Postoperative UTI.