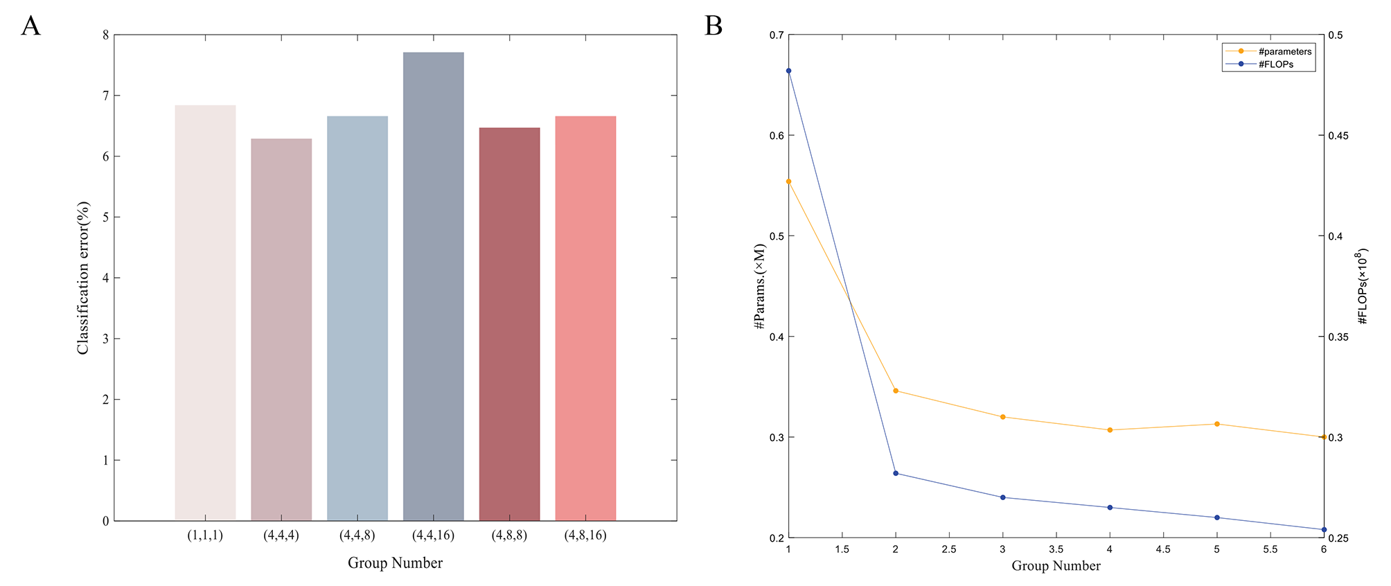
Fig. 4

Performance comparison of MIFNet with different groups number on LUNA16. (A) Performance histogram of error rate and number of groups for MIFNet. (B) Comparison of the number of subgroups as a function of parameters and flops learned by MIFNet.